巴 豆 Badou
http://www.100md.com
浙江中医学院
本品为较常用中药。商品为大戟科植物巴豆的果实。以其临时去壳取出种子压去大部分脂肪油的残渣,称"巴豆霜"供用。巴豆大多入丸药。
巴豆始载于《神农本草经》,列为下品。李时珍谓:"此物出巴蜀,而形如菽豆,故以名之"。《图经本草》载:"木高一、二丈,叶如樱桃而厚大,初生青,后渐黄赤,至十二月叶渐凋,二月复渐生,至四月旧叶落尽新叶齐生,即花发成穗,微黄色,五、六月结实,作房生青,至八月熟而黄,类白豆蔻,渐渐自落即收之,一房有三瓣,一瓣有实一粒,一房共实三粒也。"以上记述与今用巴豆的原植物一致。
别名:毒鱼子、猛子仁(湖南、广东)、巴仁(广东)、巴果(云南)、江子(四川、广西)。
, http://www.100md.com
Croton tiglium L.--大戟科Euphorbiaceae
常绿小乔木,高4~10m。树皮深灰色,平滑,幼枝绿色,被稀疏星状柔毛;二年生枝灰绿色,有不明显黄色细纵裂纹。叶互生,叶柄长2~6cm,托叶早落;叶片卵形,长5~13cm,宽2.5~7cm,顶端渐长尖,基部圆形或阔楔形,叶缘有疏浅细锯齿,两面均具稀疏星状毛,掌状3出脉,近叶柄两侧各有一无柄腺体。花小,单性,雌雄同株,顶生总状花序,长8~14cm,花绿色,雄花在上,雌花在下,花梗细而短,有星状毛;雄花萼片5深裂,花瓣5,反卷,内面密生绵状毛,雄蕊15~20,着生于花盘边缘,花丝在芽内弯曲;花盘腺体与萼片对生;雌花花萼5裂,花瓣5,有无花瓣者,花柱3,柱头深2裂。蒴果长圆形至倒卵形,长2cm,宽1~2.5cm,有3~4钝棱,密生星状毛。种子长卵形,淡褐色。花期3~6月,果期6~9月。
, 百拇医药
巴豆通常在9月前后果实成熟时采收,堆置2~3天,摊开干燥。
巴豆霜 将巴豆除去果壳及种皮,取净巴豆种仁捣碎如泥,用吸油纸包裹,于铁板上加热或压碎以除去大部分脂肪油。通常压榨法去油,每隔2天取出复研和换包裹纸1次,至渣松散成粉,不再粘结成饼为度,取出仁渣碾细即得。按药典方法进行巴豆霜脂肪油含量测定,不得高于20%。巴豆种子脂肪油不得少于50%。
巴豆Fructus Crotonis主产于四川、云南、广西、贵州、湖北诸省区,而以四川省产量最大;此外,广东、福建、浙江等省亦产。销全国各地。
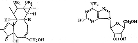
, 百拇医药 种子含巴豆油50~60%,蛋白质约18%。巴豆油有毒,呈黄色或黄棕色,d15150.935~0.950,n25D1.470~1.473。油中主要为油酸约(37%)、亚油酸(约19%)、肉豆蔻酸(约7.45%)、花生酸(约1.5%)、棕榈酸(约0.9%)、硬脂酸、月桂酸、巴豆油酸(Crotonic acid)及巴豆酸(Tiglic acid)等的甘油脂;巴豆油的亲水性部分尚含巴豆醇(Phorbol)的双酯化合物,是一种新型四环二萜(大戟二萜醇)化合物,分子中有5个羟基,R1及R2位上二个羟基被酯化生成二元酯,其中一个酯键得自长链脂肪酸,另一个酯键得自短链脂肪酸,文献记载具短链脂肪酸A1、A3、B1和B2有辅致癌活性因子。又含多种疏水性的4-去氧-4α-巴豆醇(4-Deoxy-4α-phorbol)的三酯化合物,其刺激性和致癌活性很小。此外,尚含有巴豆甙(crotonoside)水解生成核糖,巴豆毒素(Crotin)等。
, 百拇医药
巴豆醇R1=R2=H........................巴豆甙
A系为树脂状化合物
A12: R1=CH3(CH2)12*CO-.....R2=CH3CO-
A32: R1=CH3(CH2)14*CO-.....R2=CH3CO-
B系为油状化合物
B12: R1=CH3CH2*CH(CH3)*CO-.....R2=CH3*(CH2)10CO-
, 百拇医药
B22: R1=CH3*CH2*CH(CH3)*CO-.....R2=CH3*(CH2)8CO-
性状鉴别
果实卵圆形或椭圆形,具三棱,偶有4棱,长1.8~2.2cm,直径1.5~2cm。表面灰黄色至棕黄色,略粗糙,具细小点纹,有纵线6或8条,凹入处常易开裂,顶端平截,常有柱头残基,基部有短小果梗或点状梗痕。3室或4室,每室有种子1粒。种子扁椭圆形,长1.2~1.5cm,直径0.7~1.0cm,厚4~6mm,表面灰棕色至棕色,易擦落而露出黑色平滑内层,腹面一端有点状种脐和细小种阜或脱落的痕迹,另端有微凹的合点,合点与种阜间有纵直种脊;种皮薄,质硬而脆,剥去后可见一层薄膜状银白色的内种皮。胚乳黄白色至黄棕色,富油质;胚乳连合面紧贴两枚菲薄子叶;胚根细小,位于种阜一端。胚乳味辛辣如灼,不宜口尝。
, http://www.100md.com
以个大、饱满、种仁色黄白者为佳。种仁泛油变色者质差。
显微鉴别
果实及种子横切面:外果皮为1列表皮细胞,有气孔及厚壁性多细胞的星状毛;中果皮外侧为十余列薄壁细胞,有多数石细胞单个或成群散在,维管束周围细胞有时含草酸钙方晶或簇晶,中部有4~7列纤维状石细胞,呈带状环列,内侧有6~8列径向延长的长圆形厚壁细胞,壁孔少;内果皮为3~5层纤维状厚壁细胞交迭排列。种皮表皮细胞由1列径向延长的长方形细胞组成,径向壁呈不规则锯齿状弯曲;其下为1列厚壁性栅状细胞,胞腔线形,外端略膨大;向内为数层切向延长的不规则形薄壁细胞,其间散有螺纹导管;内表皮细胞颓废状。胚乳细胞类圆形,充满糊粉粒和脂肪油,另含草酸钙簇晶。子叶细胞多角形。
巴豆 上:果皮横切面简图(×23) 中:种子横切面简图(×8)下:粉末图(×200)
1. 果皮星状毛 2.果皮石细胞 3.果皮内层纤维状厚壁细胞 4.种皮表皮细胞(表面观)
5.种皮表皮细胞和栅状细胞 6.胚乳细胞(含草酸钙簇晶和糊粉粒)
粉末浅黄棕色。主要特征为:⑴厚壁性多细胞星状毛,径129~210~525μm,由6~15个厚壁性细胞排列呈放射状,细胞层纹明显,胞腔线形,近基部略膨大,并具孔沟,基部细胞5~8个,胞壁薄。⑵石细胞类圆形、长方形或纤维状,壁孔、层纹均明显,类圆形石细胞直径25~63μm,长方形及纤维状石细胞长约77μm,宽17~45μm。⑶种皮细胞碎片表面观多角形,内含黄棕色物质。⑷栅状细胞棕红色,长约225μm,直径约21μm,壁厚,胞腔线形,一端略膨大。⑸纤维状厚壁细胞直径约20μm,壁孔和层纹均明显。⑹胚乳细胞类圆形,内含众多糊粉粒和脂肪油滴及草酸钙簇晶。理化鉴别取巴豆1粒或巴豆霜少许于滤纸上,包裹压碎,使油留渍于纸上,置荧光灯下观察显紫蓝色荧光。纯巴豆油无紫蓝色荧光。取巴豆约0.5g,磨碎,加乙醚10ml,浸泡2小时,并时时振摇,滤过,滤液置试管中挥干后,加盐酸羟胺的甲醇饱和溶液0.5ml及0.1%麝香酚酞指示液1滴,再加氢氧化钾的甲醇饱和溶液至显蓝色后,再多加4滴,加热至沸腾,冷却,加稀盐酸调节pH值至2~3(无色),滴加10%三氯化铁液3滴及氯仿1ml振摇,下层溶液显紫红色。(脂类反应)薄层层析 样品制备:⑴巴豆油0.1ml,用石油醚稀释至1ml,供点样。点样量5ml。⑵巴豆霜2g,加入石油醚5ml,浸渍2小时,过滤,滤液浓缩至1ml,供点样。点样量10μl。吸附剂:硅酸G(青岛产,200目以上),加入0.6%CMC溶液适量,铺板。晾干后于105℃活化1小时。展开剂:石油醚-氯仿-乙酸乙酯(9.4:2:0.6),展距10cm。显色剂:20%硫酸溶液,喷雾后加热,除图中注明的黄色、棕色斑点外,其余均为紫红色。
巴豆薄层层析图谱
S:a、苏丹II b、甲基黄 1.巴豆油 2.巴豆霜
味辛,性热,有大毒。巴豆霜有峻下积滞,逐水消肿功能。用于寒积停滞、胸腹胀痛、腹水肿胀、喉痹;外用蚀疮去腐,顽癣。用量:巴豆霜0.1~0.3g,多入丸散分服;外用适量,研末涂或捣烂以绢包擦患处。孕妇忌服,不宜与牵牛子同用。
巴豆油及巴豆毒素对皮肤粘膜有刺激作用,系原浆毒,能溶解红细胞并使局部细胞坏死,引起皮肤发红斑、灼热感和瘙痒,甚至水肿或发展为脓疱。在加工巴豆霜时应尽量避免直接与皮肤、眼、鼻等粘膜接触。, http://www.100md.com
[历史]
巴豆始载于《神农本草经》,列为下品。李时珍谓:"此物出巴蜀,而形如菽豆,故以名之"。《图经本草》载:"木高一、二丈,叶如樱桃而厚大,初生青,后渐黄赤,至十二月叶渐凋,二月复渐生,至四月旧叶落尽新叶齐生,即花发成穗,微黄色,五、六月结实,作房生青,至八月熟而黄,类白豆蔻,渐渐自落即收之,一房有三瓣,一瓣有实一粒,一房共实三粒也。"以上记述与今用巴豆的原植物一致。
[原植物]
别名:毒鱼子、猛子仁(湖南、广东)、巴仁(广东)、巴果(云南)、江子(四川、广西)。
, http://www.100md.com
Croton tiglium L.--大戟科Euphorbiaceae
[点击上图放大] |
, 百拇医药
[采制]
巴豆通常在9月前后果实成熟时采收,堆置2~3天,摊开干燥。
巴豆霜 将巴豆除去果壳及种皮,取净巴豆种仁捣碎如泥,用吸油纸包裹,于铁板上加热或压碎以除去大部分脂肪油。通常压榨法去油,每隔2天取出复研和换包裹纸1次,至渣松散成粉,不再粘结成饼为度,取出仁渣碾细即得。按药典方法进行巴豆霜脂肪油含量测定,不得高于20%。巴豆种子脂肪油不得少于50%。
[药材及产销]
巴豆Fructus Crotonis主产于四川、云南、广西、贵州、湖北诸省区,而以四川省产量最大;此外,广东、福建、浙江等省亦产。销全国各地。
[化学成份]
, 百拇医药 种子含巴豆油50~60%,蛋白质约18%。巴豆油有毒,呈黄色或黄棕色,d15150.935~0.950,n25D1.470~1.473。油中主要为油酸约(37%)、亚油酸(约19%)、肉豆蔻酸(约7.45%)、花生酸(约1.5%)、棕榈酸(约0.9%)、硬脂酸、月桂酸、巴豆油酸(Crotonic acid)及巴豆酸(Tiglic acid)等的甘油脂;巴豆油的亲水性部分尚含巴豆醇(Phorbol)的双酯化合物,是一种新型四环二萜(大戟二萜醇)化合物,分子中有5个羟基,R1及R2位上二个羟基被酯化生成二元酯,其中一个酯键得自长链脂肪酸,另一个酯键得自短链脂肪酸,文献记载具短链脂肪酸A1、A3、B1和B2有辅致癌活性因子。又含多种疏水性的4-去氧-4α-巴豆醇(4-Deoxy-4α-phorbol)的三酯化合物,其刺激性和致癌活性很小。此外,尚含有巴豆甙(crotonoside)水解生成核糖,巴豆毒素(Crotin)等。
, 百拇医药
巴豆醇R1=R2=H........................巴豆甙
A系为树脂状化合物
A12: R1=CH3(CH2)12*CO-.....R2=CH3CO-
A32: R1=CH3(CH2)14*CO-.....R2=CH3CO-
B系为油状化合物
B12: R1=CH3CH2*CH(CH3)*CO-.....R2=CH3*(CH2)10CO-
, 百拇医药
B22: R1=CH3*CH2*CH(CH3)*CO-.....R2=CH3*(CH2)8CO-
[药材鉴别]
[点击上图放大] |
, 百拇医药 [点击上图放大] |
性状鉴别
[点击上图放大] |
, http://www.100md.com
以个大、饱满、种仁色黄白者为佳。种仁泛油变色者质差。
显微鉴别
果实及种子横切面:外果皮为1列表皮细胞,有气孔及厚壁性多细胞的星状毛;中果皮外侧为十余列薄壁细胞,有多数石细胞单个或成群散在,维管束周围细胞有时含草酸钙方晶或簇晶,中部有4~7列纤维状石细胞,呈带状环列,内侧有6~8列径向延长的长圆形厚壁细胞,壁孔少;内果皮为3~5层纤维状厚壁细胞交迭排列。种皮表皮细胞由1列径向延长的长方形细胞组成,径向壁呈不规则锯齿状弯曲;其下为1列厚壁性栅状细胞,胞腔线形,外端略膨大;向内为数层切向延长的不规则形薄壁细胞,其间散有螺纹导管;内表皮细胞颓废状。胚乳细胞类圆形,充满糊粉粒和脂肪油,另含草酸钙簇晶。子叶细胞多角形。
, http://www.100md.com [点击上图放大] |
巴豆 上:果皮横切面简图(×23) 中:种子横切面简图(×8)下:粉末图(×200)
1. 果皮星状毛 2.果皮石细胞 3.果皮内层纤维状厚壁细胞 4.种皮表皮细胞(表面观)
5.种皮表皮细胞和栅状细胞 6.胚乳细胞(含草酸钙簇晶和糊粉粒)
粉末浅黄棕色。主要特征为:⑴厚壁性多细胞星状毛,径129~210~525μm,由6~15个厚壁性细胞排列呈放射状,细胞层纹明显,胞腔线形,近基部略膨大,并具孔沟,基部细胞5~8个,胞壁薄。⑵石细胞类圆形、长方形或纤维状,壁孔、层纹均明显,类圆形石细胞直径25~63μm,长方形及纤维状石细胞长约77μm,宽17~45μm。⑶种皮细胞碎片表面观多角形,内含黄棕色物质。⑷栅状细胞棕红色,长约225μm,直径约21μm,壁厚,胞腔线形,一端略膨大。⑸纤维状厚壁细胞直径约20μm,壁孔和层纹均明显。⑹胚乳细胞类圆形,内含众多糊粉粒和脂肪油滴及草酸钙簇晶。理化鉴别取巴豆1粒或巴豆霜少许于滤纸上,包裹压碎,使油留渍于纸上,置荧光灯下观察显紫蓝色荧光。纯巴豆油无紫蓝色荧光。取巴豆约0.5g,磨碎,加乙醚10ml,浸泡2小时,并时时振摇,滤过,滤液置试管中挥干后,加盐酸羟胺的甲醇饱和溶液0.5ml及0.1%麝香酚酞指示液1滴,再加氢氧化钾的甲醇饱和溶液至显蓝色后,再多加4滴,加热至沸腾,冷却,加稀盐酸调节pH值至2~3(无色),滴加10%三氯化铁液3滴及氯仿1ml振摇,下层溶液显紫红色。(脂类反应)薄层层析 样品制备:⑴巴豆油0.1ml,用石油醚稀释至1ml,供点样。点样量5ml。⑵巴豆霜2g,加入石油醚5ml,浸渍2小时,过滤,滤液浓缩至1ml,供点样。点样量10μl。吸附剂:硅酸G(青岛产,200目以上),加入0.6%CMC溶液适量,铺板。晾干后于105℃活化1小时。展开剂:石油醚-氯仿-乙酸乙酯(9.4:2:0.6),展距10cm。显色剂:20%硫酸溶液,喷雾后加热,除图中注明的黄色、棕色斑点外,其余均为紫红色。
, 百拇医药 [点击上图放大] |
巴豆薄层层析图谱
S:a、苏丹II b、甲基黄 1.巴豆油 2.巴豆霜
[性味及功效]
味辛,性热,有大毒。巴豆霜有峻下积滞,逐水消肿功能。用于寒积停滞、胸腹胀痛、腹水肿胀、喉痹;外用蚀疮去腐,顽癣。用量:巴豆霜0.1~0.3g,多入丸散分服;外用适量,研末涂或捣烂以绢包擦患处。孕妇忌服,不宜与牵牛子同用。
[药理作用及临床应用]
对消化道的作用:用家兔在位小肠实验,将1:100,000~1:10,000巴豆油乳剂0.2ml注入肠腔后,立即引起肠运动振幅加大,紧张性升高;肠浆膜面给药(1:1,000~1:100,000)30秒种后肠紧张性上升,振幅亦加大,呈现明显的兴奋作用。口服巴豆油半滴至1滴,即能产生胃部的烧灼感及呕吐,巴豆油至肠内水解后释出巴豆酸,刺激肠粘膜,使之发炎,增加分泌,促进蠕动,于1/2~3小时内产生剧烈腹泻,伴有腹痛和里急后重。临床曾试用于肠梗阻等。抗菌、抗病毒及抗滤过性病毒作用:巴豆煎剂对金黄色葡萄球菌、流感杆菌、白喉杆菌、绿脓杆菌有一定的抗菌作用。给感染流行性乙型脑炎的小白鼠皮下注射巴豆油制剂,有预防作用。临床曾用于急慢性肠炎、慢性痢疾等。毒性:人服巴豆油20滴可致死。巴豆毒素家兔皮下注射的致死量为20~80mg/kg。巴豆油酸大白鼠口服半数致死量为1000mg/kg;豚鼠皮下注射半数致死量600mg/kg。巴豆仁有杀灭钉螺作用。0.5%巴豆煎剂有浸杀作用,5%可用于喷射灭螺。[附注]
巴豆油及巴豆毒素对皮肤粘膜有刺激作用,系原浆毒,能溶解红细胞并使局部细胞坏死,引起皮肤发红斑、灼热感和瘙痒,甚至水肿或发展为脓疱。在加工巴豆霜时应尽量避免直接与皮肤、眼、鼻等粘膜接触。, http://www.100md.com