低价钛反应在天然产物合成中的应用
作者:钱练 王琳
单位:中国医学科学院中国协和医科大学药物研究所合成药物化学研究室,北京100050
关键词:羰基还原偶联;低价钛反应;天然产物合成
摘 要 低价钛引起的羰基偶联反应是一种重要的烯烃合成方法摘 要 低价钛引起的羰基偶联反应是一种重要的烯烃合成方法,在药物化学合成领域受到人们的广泛重视.作者对近年来低价钛反应在天然产物合成中的应用进行了综述讨论.
低价钛引起的羰基还原偶联反应(McMurry反应)自20世纪初发现以来一直被人们反复证实并日益发展,此烯烃合成方法已成为有机合成领域的经典反应,并被用来合成多种中间体、医药品和天然产物.其反应机理〔1〕如下:
, 百拇医药
反应由低价钛提供一个电子给羰基,形成羰基自由基,羰自由基二聚得到的片呐醇化物在低价钛微粒表面脱氧生成烯烃,同时低价钛表面被氧化.片呐醇化物中间体的两个氧必须在空间上与低价钛微粒的一个面接触并键合,否则只能生成片呐醇,不能生成烯烃,且两个碳氧键不是同时断裂.低价钛试剂引起的羰基还原偶联反应不仅可以在分子间进行,得到多取代烯烃;而且能顺利地在分子内进行,生成环烯,这是目前构成碳环最有效的方法,其总体效果优于经典的酮醇缩合反应.近年来,人们利用低价钛反应构造了各种各样的环状化合物(包括碳环和杂环,三元至三十六元环均有报道),在天然产物合成中发挥了重要作用.以下概述近年来低价钛反应用于天然产物合成的新进展.
1 成环反应中的应用
1.1 构建五元环
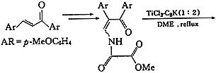
吲哚和苯并呋喃类化合物是有着多种生物活性的天然产物,其结构的构建方法众多.Fürstner等人〔2~3〕1995年报道了oxo-amides的低价钛可还原偶联构建吲哚环、苯并呋喃环(1).
, http://www.100md.com
此方法使得吲哚环的烯胺区域可被多种取代基取代,特别是R2,可用于许多带有对酸敏感和易还原基团的底物.
用此法合成了多个有药理活性的生物碱,如化合物(2)~(5),其中,化合物(2)和化合物(3)有抗真菌活性,化合物(5)有抗肿瘤和抗病毒活性.与此类似的还有抗皮肤癌活性化合物LukianolA(6)全合成〔4〕中吡咯环的构建.




, http://www.100md.com
化合物(7)是半寄生植物Witchweed的高效种子发芽促进剂〔5〕.在种植玉米、高粱、甘蔗、小麦等农作物前,先在土壤里加入化合物(7)或其类似物使寄生植物先发芽以便除去,这是一种新的控制寄生杂草的方法.
1.2 构建六元环
雌酮的雌激素骨架(8)的构建〔6〕可应用TiCl3,Zn/Cu,在DME中回流,收率可达56%.
, 百拇医药 Compactin(9)和mevinolin(10)均是真菌代谢物〔7〕,对降低血中胆固醇有效.它们的全合成中均用到低价钛反应成环.
岩兰油的组分isokhusimone(11)〔8〕是zizaane三环〔6.2.1.0.〔1,5〕〕十一烷结构的倍半烯萜,其全合成的最后一步应用低价钛反应得到1∶1的isokhusimone(11)和其差向异构的醇(12),将(12)用PCC氧化可得化合物(11),其总收率达78%.
1.3 构建八元环
最近几年在合成有机化学领域最引人瞩目的莫过于抗癌药紫杉醇(Taxol)的全合成,在Kende小组〔9〕工作的基础上,Nicolaou〔10〕小组应用低价钛反应使八元B环环合,构建紫杉醇结构骨架.用〔TiCl3(DME)1,5〕/Zn-Cu从中间体二醛(13)合成出目的化合物片呐醇(14).由于有3个副产物,产物收率较低(23%~25%),但这一应用意义重大.相似的钛偶联生成片呐醇也用于许多紫杉醇类似物的合成.低价钛偶联构成八元环在5-8-5三环二萜化合物(15~17)合成〔11〕中也得到应用.Cerophastol(18)〔12〕是一种从昆虫的蜡状分泌物中提取的三环倍半萜烯,其八元环的成环是利用TiCl4,Zn/THF的低价钛反应.


, 百拇医药
1.4 构建九元环
从丁子香油提取的倍半萜烯烃isocaryophyllene(19)〔13〕的全合成中的关键步骤是酮酯的低价钛环合形成壬酮烯环.
1.5 构建十元环
单环倍半萜烯helminthogermacrene(20)的大环骨架是由分子内酮醛基低价钛偶联形成〔14〕.与之相似的还有bicyclogermacrene(21)的合成〔15〕,bicyclogermacrene是从Citrusjunos的皮油中提取的,被认为是具有二甲基环丙烷稠环结构的倍半萜烯化合物的生物前体.
, http://www.100md.com
1.6 构建十一元环
McMurry等人〔16〕应用低价钛偶联成环合成humulene(22),一个十一元环的倍半萜烯,此路线不仅步骤少(三步),而且立体选择性强,比用镍催化成环反应产率高.
1.7 构建十二元环
E-E-verticillene(23)是人们公认的紫杉烷生物碱的生物合成前体,其结构骨架为[10.3.1.0.4,6]十六碳烯环,Jackson小组〔17〕利用二醛在Ti(0)存在下分子内偶联成骨架(23).
, 百拇医药
1.8 构建十四元环
近年来,从海洋生物中提取的十四元环的二萜化合物因其广泛的生物活性和特殊的大环结构引起人们的关注.许多具有抗癌活性的化合物均已全合成,如:sarcophytol-B,crassin,isolobophytolide.其中不少用到低价钛反应成环.以isosar cophytol-A(24)的合成为例:李裕林等〔18〕应用分子内McMurry反应有效地构造了十四元大环,并合成了类似物cembrene-C(25)〔19〕.
Crassin(28)是一种有抗炎及抗癌活性的二萜,其全合成有两条路径用到低价钛反应.Dauben〔20〕利用低价钛形成大环中三取代的C7-C8双键化合物(26),McMurry〔21〕利用分子内片呐醇反应形成十四元环的C3-C4二醇结构化合物(27).

, 百拇医药
1.9 构建十五元环
Flexibilene(29)〔22〕是目前所知的唯一的十五元环二萜化合物,与humulene(22)结构相似,自然界存在量很少,其合成很有意义.
1.10 构建三十六元环
目前利用低价钛羰基偶联反应生成的最大环的化合物是三十六元二醚类酯〔23〕,一种从耐高温,高酸的微生物细胞膜中分离出来的化合物(30),其合成在生化研究上有重要意义.
, 百拇医药
2 直链中的应用
除许多天然产物的合成利用低价钛分子内偶联反应构建环系外,分子间的偶联反应也广泛用于天然产物的合成.如艾滋病毒蛋白酶抑制剂:C-2对称及假C-2对称的二胺醇和二醇的合成也可利用分子间McMurry片呐醇反应完成〔24〕.虽然立体选择性差[(31)∶(32)∶(33)=2∶1∶1],但(31)~(33)这3个异构体经脱保护基均对艾滋病毒蛋白酶有很好的抑制作用.
人们发现具有1-芳氧基-3-烷氨基-2-丙醇结构的天然产物对肾上腺素β受体有阻断活性,Bermudez〔25〕用低价钛反应将二卤代卡宾和二苄基缩醛偶联,又经与胺反应脱卤,成功而又简便地构建了氨基-2-丙醇母链.此法的关键是控制并减少副产物烯(35)的生成,为此可使用与Ti(0)不易配位的溶剂THF.
, 百拇医药
另外,分子间低价钛羰基还原偶联反应不仅能合成对称的烯烃,也可以通过分子间混合偶联反应合成不对称烯烃,但通常只适用于一种原料过量且生成产物易于分离的反应〔26〕.
抗肿瘤药异三尖酯碱isoharringtonine(37)〔27〕是利用低价钛交叉偶联反应合成的.
总之,具有二醛二酮、酮醛和酮酯的羰基化合物的低价钛分子内和分子间偶联反应可合成多种天然产物及其中间体,随着研究的深入,用于羰基还原偶联的低价钛试剂也将会有很大的进展,其应用范围将进一步扩大,为有机合成化学增添更丰富的内容.
, 百拇医药
致谢:承赵知中教授审阅全文,特此致谢.
王琳:通讯联系人
参考文献
1 McMurry JE.Carbonyl-coupling reactions using low-valent ti tanium.Chem Rev,1989,89(7):1513~1524
2 Furstner A,Hupperts A.Carbonyl coupling reactions catalytic in titan ium and t he use of commercial titanium powder for organic synthesis.J Am Chem Soc,1995,11 7(6):4468~4475
3 Furstner A,Ernst A.Syntheses of Camalexin,Indolopyridocoline and Fla vopereirine.Tetrahedron,1995,51(3):773~779
, 百拇医药
4 Furstner A,Weintritt H,Hupperts A.A new titanilitianium-mediated ap proach to pyrrole s:first synthesis of Lukianol A and Lamellarin O dimethy ether.J Org Chem,1995,6 0(20):6637~6641
5 Berlage U,Schmidt J,Peters U,et al.A formal total synthesis of ( ±)-strigol.Tetrahedron Letters,1987,28(27):3091~3094
6 Frederick E,Ziegler HL.A synthesis of (±)-estrone methyl ether via the tandem cope-claisen rearrangement.J Org Chem,1982,47(26):5229~5230
, http://www.100md.com
7 Clive DLJ,Murthy KSK,Wee AGH,et al.Total synthesis of both(+)-c ompaction and (+)-Mevinolin.A general strategy based on the use of a special TiCl3/C8 K mixture for dicarbonyl coupling.J Am Chem Soc,1988,110(20):6914~6916
8 Wu YJ,Burnell DJ.A new route to the zizaane sesquiterpenes:an effici ent synthesis of (±) Isokusimone.Tetrahedron Letters,1988,29(35):4369~4372
9 Kende AS,Johnson S,Sanfilippo P,et al.Synthesis of a taxane trie ne.J Am Chem Soc,1986,108(12):3513~3515
, http://www.100md.com
10 Nicolaou KC,Yang Z,Liu JJ,et al.Total synthesis of Taxol 3 formation of taxol′s ABC ring skeleton.J Am Chem Soc,1995,117(2):645~652
11 Kato N,Wu X,Nishikawa H,et al.Total synthesis of optically active Plagio spirolides A and B:highly stereoselective biomimetic Diels-Alder reaction.J Che m Soc Perkin Trans 1,1994,(8):1047~1053
12 Kato N,Kataoda H,Ohbuchi S,et al.Total synthesis of albolic acid and Cer plastol Ⅱ,5-8-5 membered tricyclic insect sesterterpenoids,via a lactol-regu lated silyloxy-cope rearrangement.J Chem Soc Chem Commun,1988,(5):354~356
, http://www.100md.com
13 McMurry JE,Miller DD.Synthesis of isocaryophyllene by titanium-induced ket o ester cyclization.Tetrahedron Letters,1983,24(18):1885~1888
14 McMurry JE,Kocosky P.Synthesis of helminthogermacrene and β-elemene.Tetra hedron Letters,1985,26(18):2171~2172
15 McMurry JE,Bosch GK.Synthesis of bicyclogermacrene and lepidozene.Tetrahedro n Letters,1985,26(18):2167~2170
16 McMurry JE,Matz JR.Strereospecific synthesis of humulene by titanium-induce d dicarbonyl coupling.Tetrahedron Letters,1982,23(27):2723~2724
, 百拇医药
17 Jackson CB,Pattenden G.Total synthesis of verticillene,the putative biogenet ic precursor of the taxane alkaloids.Tetrahedron Letters,1985,26(28):3393~3396
18 Li YL,Li W,Li Y,et al.Studies on macrocyclic diterpenoids.Part 10.First total synthesis of (±)-isosarcophytol-A.J Chem Soc Perkin Trans 1,1993,(23):2 953~2956
19 Li YL,Li WD,Li YU.A convenient synthesis of Cembrene-C.Syn Commum,1994,24( 5):721~726
, 百拇医药
20 Dauben WG,Wang TZ,Stephens RW.Total synthesis of (±) -rassin acetate meth yl ether.Tetrahedron Letters,1990,31(7):2393~2396
21 McMurry JE,Dushin RG.Total synthesis of (±)-Isolobophytolide and (±) -cr a ssin by titanium-induced carbonyl coupling.J Am Chem Soc,1990,112(19):6942~69 49
22 McMurry JE,Matz JR,Kees KL.Synthesis of macrocyclic terpenoide by intramole cular carbonyl coupling:Flexibilene and humulene.Tetrahedron,1987,43(23):548 9~5498
, 百拇医药
23 Eguchi T,Arakawa K,Terachi T,et al.Total synthesis of archaeal 36-membe red.J Org Chem,1997,62(7):1924~1933
24 Kempf DJ,Sowin TJ,Doherty EM,et al.Stereocontrolled synthesis of C2-s ym metric and pseudo-C2-symmetric diamino alcohols and diols for use in HIV pro tease inhibitors.J Org Chem,1992,57(21):5692~5700
25 Bemudez JL,Campo CD,Sinisterra JV,et al.A new route to amino-2-propano l structures with adrenergic β-blocker activity using low valent titanium.Tet rahedron Letters,1997,38(23):4137~4140
26 Reddy SM,Duraisamy M,Walborsky HM.Low valent titanium induced cross-coupli ng of chiral α,β-unsaturated ketornes with acetone.J Org Chem,1986,51(12):236 1~2366
27 Li YL,Li Y,Huang W.Novel synthesis of isoharringtonine.Kexue Tongbao,1984, 29(8):1131
收稿日期:1999-04-28, http://www.100md.com
单位:中国医学科学院中国协和医科大学药物研究所合成药物化学研究室,北京100050
关键词:羰基还原偶联;低价钛反应;天然产物合成
摘 要 低价钛引起的羰基偶联反应是一种重要的烯烃合成方法摘 要 低价钛引起的羰基偶联反应是一种重要的烯烃合成方法,在药物化学合成领域受到人们的广泛重视.作者对近年来低价钛反应在天然产物合成中的应用进行了综述讨论.
低价钛引起的羰基还原偶联反应(McMurry反应)自20世纪初发现以来一直被人们反复证实并日益发展,此烯烃合成方法已成为有机合成领域的经典反应,并被用来合成多种中间体、医药品和天然产物.其反应机理〔1〕如下:
, 百拇医药
反应由低价钛提供一个电子给羰基,形成羰基自由基,羰自由基二聚得到的片呐醇化物在低价钛微粒表面脱氧生成烯烃,同时低价钛表面被氧化.片呐醇化物中间体的两个氧必须在空间上与低价钛微粒的一个面接触并键合,否则只能生成片呐醇,不能生成烯烃,且两个碳氧键不是同时断裂.低价钛试剂引起的羰基还原偶联反应不仅可以在分子间进行,得到多取代烯烃;而且能顺利地在分子内进行,生成环烯,这是目前构成碳环最有效的方法,其总体效果优于经典的酮醇缩合反应.近年来,人们利用低价钛反应构造了各种各样的环状化合物(包括碳环和杂环,三元至三十六元环均有报道),在天然产物合成中发挥了重要作用.以下概述近年来低价钛反应用于天然产物合成的新进展.
1 成环反应中的应用
1.1 构建五元环
吲哚和苯并呋喃类化合物是有着多种生物活性的天然产物,其结构的构建方法众多.Fürstner等人〔2~3〕1995年报道了oxo-amides的低价钛可还原偶联构建吲哚环、苯并呋喃环(1).
, http://www.100md.com
此方法使得吲哚环的烯胺区域可被多种取代基取代,特别是R2,可用于许多带有对酸敏感和易还原基团的底物.
用此法合成了多个有药理活性的生物碱,如化合物(2)~(5),其中,化合物(2)和化合物(3)有抗真菌活性,化合物(5)有抗肿瘤和抗病毒活性.与此类似的还有抗皮肤癌活性化合物LukianolA(6)全合成〔4〕中吡咯环的构建.
, http://www.100md.com
化合物(7)是半寄生植物Witchweed的高效种子发芽促进剂〔5〕.在种植玉米、高粱、甘蔗、小麦等农作物前,先在土壤里加入化合物(7)或其类似物使寄生植物先发芽以便除去,这是一种新的控制寄生杂草的方法.
1.2 构建六元环
雌酮的雌激素骨架(8)的构建〔6〕可应用TiCl3,Zn/Cu,在DME中回流,收率可达56%.
, 百拇医药 Compactin(9)和mevinolin(10)均是真菌代谢物〔7〕,对降低血中胆固醇有效.它们的全合成中均用到低价钛反应成环.
岩兰油的组分isokhusimone(11)〔8〕是zizaane三环〔6.2.1.0.〔1,5〕〕十一烷结构的倍半烯萜,其全合成的最后一步应用低价钛反应得到1∶1的isokhusimone(11)和其差向异构的醇(12),将(12)用PCC氧化可得化合物(11),其总收率达78%.
1.3 构建八元环
最近几年在合成有机化学领域最引人瞩目的莫过于抗癌药紫杉醇(Taxol)的全合成,在Kende小组〔9〕工作的基础上,Nicolaou〔10〕小组应用低价钛反应使八元B环环合,构建紫杉醇结构骨架.用〔TiCl3(DME)1,5〕/Zn-Cu从中间体二醛(13)合成出目的化合物片呐醇(14).由于有3个副产物,产物收率较低(23%~25%),但这一应用意义重大.相似的钛偶联生成片呐醇也用于许多紫杉醇类似物的合成.低价钛偶联构成八元环在5-8-5三环二萜化合物(15~17)合成〔11〕中也得到应用.Cerophastol(18)〔12〕是一种从昆虫的蜡状分泌物中提取的三环倍半萜烯,其八元环的成环是利用TiCl4,Zn/THF的低价钛反应.
, 百拇医药
1.4 构建九元环
从丁子香油提取的倍半萜烯烃isocaryophyllene(19)〔13〕的全合成中的关键步骤是酮酯的低价钛环合形成壬酮烯环.
1.5 构建十元环
单环倍半萜烯helminthogermacrene(20)的大环骨架是由分子内酮醛基低价钛偶联形成〔14〕.与之相似的还有bicyclogermacrene(21)的合成〔15〕,bicyclogermacrene是从Citrusjunos的皮油中提取的,被认为是具有二甲基环丙烷稠环结构的倍半萜烯化合物的生物前体.
, http://www.100md.com
1.6 构建十一元环
McMurry等人〔16〕应用低价钛偶联成环合成humulene(22),一个十一元环的倍半萜烯,此路线不仅步骤少(三步),而且立体选择性强,比用镍催化成环反应产率高.
1.7 构建十二元环
E-E-verticillene(23)是人们公认的紫杉烷生物碱的生物合成前体,其结构骨架为[10.3.1.0.4,6]十六碳烯环,Jackson小组〔17〕利用二醛在Ti(0)存在下分子内偶联成骨架(23).
, 百拇医药
1.8 构建十四元环
近年来,从海洋生物中提取的十四元环的二萜化合物因其广泛的生物活性和特殊的大环结构引起人们的关注.许多具有抗癌活性的化合物均已全合成,如:sarcophytol-B,crassin,isolobophytolide.其中不少用到低价钛反应成环.以isosar cophytol-A(24)的合成为例:李裕林等〔18〕应用分子内McMurry反应有效地构造了十四元大环,并合成了类似物cembrene-C(25)〔19〕.
Crassin(28)是一种有抗炎及抗癌活性的二萜,其全合成有两条路径用到低价钛反应.Dauben〔20〕利用低价钛形成大环中三取代的C7-C8双键化合物(26),McMurry〔21〕利用分子内片呐醇反应形成十四元环的C3-C4二醇结构化合物(27).
, 百拇医药
1.9 构建十五元环
Flexibilene(29)〔22〕是目前所知的唯一的十五元环二萜化合物,与humulene(22)结构相似,自然界存在量很少,其合成很有意义.
1.10 构建三十六元环
目前利用低价钛羰基偶联反应生成的最大环的化合物是三十六元二醚类酯〔23〕,一种从耐高温,高酸的微生物细胞膜中分离出来的化合物(30),其合成在生化研究上有重要意义.
, 百拇医药
2 直链中的应用
除许多天然产物的合成利用低价钛分子内偶联反应构建环系外,分子间的偶联反应也广泛用于天然产物的合成.如艾滋病毒蛋白酶抑制剂:C-2对称及假C-2对称的二胺醇和二醇的合成也可利用分子间McMurry片呐醇反应完成〔24〕.虽然立体选择性差[(31)∶(32)∶(33)=2∶1∶1],但(31)~(33)这3个异构体经脱保护基均对艾滋病毒蛋白酶有很好的抑制作用.
人们发现具有1-芳氧基-3-烷氨基-2-丙醇结构的天然产物对肾上腺素β受体有阻断活性,Bermudez〔25〕用低价钛反应将二卤代卡宾和二苄基缩醛偶联,又经与胺反应脱卤,成功而又简便地构建了氨基-2-丙醇母链.此法的关键是控制并减少副产物烯(35)的生成,为此可使用与Ti(0)不易配位的溶剂THF.
, 百拇医药
另外,分子间低价钛羰基还原偶联反应不仅能合成对称的烯烃,也可以通过分子间混合偶联反应合成不对称烯烃,但通常只适用于一种原料过量且生成产物易于分离的反应〔26〕.
抗肿瘤药异三尖酯碱isoharringtonine(37)〔27〕是利用低价钛交叉偶联反应合成的.
总之,具有二醛二酮、酮醛和酮酯的羰基化合物的低价钛分子内和分子间偶联反应可合成多种天然产物及其中间体,随着研究的深入,用于羰基还原偶联的低价钛试剂也将会有很大的进展,其应用范围将进一步扩大,为有机合成化学增添更丰富的内容.
, 百拇医药
致谢:承赵知中教授审阅全文,特此致谢.
王琳:通讯联系人
参考文献
1 McMurry JE.Carbonyl-coupling reactions using low-valent ti tanium.Chem Rev,1989,89(7):1513~1524
2 Furstner A,Hupperts A.Carbonyl coupling reactions catalytic in titan ium and t he use of commercial titanium powder for organic synthesis.J Am Chem Soc,1995,11 7(6):4468~4475
3 Furstner A,Ernst A.Syntheses of Camalexin,Indolopyridocoline and Fla vopereirine.Tetrahedron,1995,51(3):773~779
, 百拇医药
4 Furstner A,Weintritt H,Hupperts A.A new titanilitianium-mediated ap proach to pyrrole s:first synthesis of Lukianol A and Lamellarin O dimethy ether.J Org Chem,1995,6 0(20):6637~6641
5 Berlage U,Schmidt J,Peters U,et al.A formal total synthesis of ( ±)-strigol.Tetrahedron Letters,1987,28(27):3091~3094
6 Frederick E,Ziegler HL.A synthesis of (±)-estrone methyl ether via the tandem cope-claisen rearrangement.J Org Chem,1982,47(26):5229~5230
, http://www.100md.com
7 Clive DLJ,Murthy KSK,Wee AGH,et al.Total synthesis of both(+)-c ompaction and (+)-Mevinolin.A general strategy based on the use of a special TiCl3/C8 K mixture for dicarbonyl coupling.J Am Chem Soc,1988,110(20):6914~6916
8 Wu YJ,Burnell DJ.A new route to the zizaane sesquiterpenes:an effici ent synthesis of (±) Isokusimone.Tetrahedron Letters,1988,29(35):4369~4372
9 Kende AS,Johnson S,Sanfilippo P,et al.Synthesis of a taxane trie ne.J Am Chem Soc,1986,108(12):3513~3515
, http://www.100md.com
10 Nicolaou KC,Yang Z,Liu JJ,et al.Total synthesis of Taxol 3 formation of taxol′s ABC ring skeleton.J Am Chem Soc,1995,117(2):645~652
11 Kato N,Wu X,Nishikawa H,et al.Total synthesis of optically active Plagio spirolides A and B:highly stereoselective biomimetic Diels-Alder reaction.J Che m Soc Perkin Trans 1,1994,(8):1047~1053
12 Kato N,Kataoda H,Ohbuchi S,et al.Total synthesis of albolic acid and Cer plastol Ⅱ,5-8-5 membered tricyclic insect sesterterpenoids,via a lactol-regu lated silyloxy-cope rearrangement.J Chem Soc Chem Commun,1988,(5):354~356
, http://www.100md.com
13 McMurry JE,Miller DD.Synthesis of isocaryophyllene by titanium-induced ket o ester cyclization.Tetrahedron Letters,1983,24(18):1885~1888
14 McMurry JE,Kocosky P.Synthesis of helminthogermacrene and β-elemene.Tetra hedron Letters,1985,26(18):2171~2172
15 McMurry JE,Bosch GK.Synthesis of bicyclogermacrene and lepidozene.Tetrahedro n Letters,1985,26(18):2167~2170
16 McMurry JE,Matz JR.Strereospecific synthesis of humulene by titanium-induce d dicarbonyl coupling.Tetrahedron Letters,1982,23(27):2723~2724
, 百拇医药
17 Jackson CB,Pattenden G.Total synthesis of verticillene,the putative biogenet ic precursor of the taxane alkaloids.Tetrahedron Letters,1985,26(28):3393~3396
18 Li YL,Li W,Li Y,et al.Studies on macrocyclic diterpenoids.Part 10.First total synthesis of (±)-isosarcophytol-A.J Chem Soc Perkin Trans 1,1993,(23):2 953~2956
19 Li YL,Li WD,Li YU.A convenient synthesis of Cembrene-C.Syn Commum,1994,24( 5):721~726
, 百拇医药
20 Dauben WG,Wang TZ,Stephens RW.Total synthesis of (±) -rassin acetate meth yl ether.Tetrahedron Letters,1990,31(7):2393~2396
21 McMurry JE,Dushin RG.Total synthesis of (±)-Isolobophytolide and (±) -cr a ssin by titanium-induced carbonyl coupling.J Am Chem Soc,1990,112(19):6942~69 49
22 McMurry JE,Matz JR,Kees KL.Synthesis of macrocyclic terpenoide by intramole cular carbonyl coupling:Flexibilene and humulene.Tetrahedron,1987,43(23):548 9~5498
, 百拇医药
23 Eguchi T,Arakawa K,Terachi T,et al.Total synthesis of archaeal 36-membe red.J Org Chem,1997,62(7):1924~1933
24 Kempf DJ,Sowin TJ,Doherty EM,et al.Stereocontrolled synthesis of C2-s ym metric and pseudo-C2-symmetric diamino alcohols and diols for use in HIV pro tease inhibitors.J Org Chem,1992,57(21):5692~5700
25 Bemudez JL,Campo CD,Sinisterra JV,et al.A new route to amino-2-propano l structures with adrenergic β-blocker activity using low valent titanium.Tet rahedron Letters,1997,38(23):4137~4140
26 Reddy SM,Duraisamy M,Walborsky HM.Low valent titanium induced cross-coupli ng of chiral α,β-unsaturated ketornes with acetone.J Org Chem,1986,51(12):236 1~2366
27 Li YL,Li Y,Huang W.Novel synthesis of isoharringtonine.Kexue Tongbao,1984, 29(8):1131
收稿日期:1999-04-28, http://www.100md.com