带回忆项的学习记忆模型
作者:王开发 樊爱军 余小平
单位:第三军医大学数学教研室 重庆400038
关键词:回忆;学习;记忆 第二记忆;模型
数理医药学杂志990406
摘 要 讨论了一类带回忆项的学习记忆模型,结果表明,大脑中的信息痕迹量的变化趋势与初始信息痕迹量的大小有关,经过多次重复学习后,总会达到长期记忆中的第二记忆情形。
1 引言
学习是指新行为的获得或发展,记忆是指学习得到的行为的保持和再现。学习和记忆是研究中枢神经系统高级活动的中心问题,也是研究得最多最广泛的领域之一。如果学习后信息在大脑中留下的痕迹量低于某一阀值(记为C),就会出现遗忘现象,但同时信息又具有“保持”作用。
, 百拇医药
生理学家按照记忆时间长短不同又分为三类:①感觉记忆:指在实际的感觉体验以后,在脑的感觉区保留很短时间的感觉信号而言的。②短期记忆:又称第一记忆,是指对少数事实、词语、数字、文字或其它的少量信息每次能持续几秒钟到一分钟或更长一些时间的记忆而言的。③长期记忆:是指那些能够在以后的某个时间,几分种、几小时、几天、几月或几年以后被回想出来的脑内贮存的信息而言的。长期记忆又分第二记忆和第三记忆。第二记忆是一种用弱的或仅仅是稍强的记忆痕迹所贮存的长期记忆,此类记忆可以持续几分钟到几年。第三记忆是一种深深地刻在脑海中的记忆,以致这种记忆常常可以持续终生[1]。
到目前为止,对学习和记忆机制的较为深入的研究,积累了大量的资料,主要体现在神经生理和生物化学两个方面。但对学习和记忆模型,特别是数学模型的研究还比较少,文献[2]对此作了概述。近来,文献[3]对学习记忆模型作了进一步研究,但因其考虑的因素较少,故未能得到长期记忆的结果。在实际学习记忆过程中,回忆是必然存在的,并且起着重要作用。因此,本文将在文献[3]的基础上,讨论带回忆项的学习记忆模型,得到了该模型所反映的长期记忆中第二记忆的某些结论。
, http://www.100md.com
2 模型
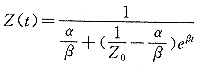
回忆大脑中已存储的信息也是一种学习过程,但它不必通过感觉器官输入,而直接在大脑中进行内部循环使痕迹加强。一般认为,回忆量与大脑中的信息痕迹量呈正比例关系[3],因此本文讨论如下的带回忆项的学习记忆模型:
(1)
Z(0)=Z0
其中β>0为自然衰减系数;α>0为回忆系数;Z(t)为t时刻大脑中的信息痕迹量;Z0为刚好完成学习时大脑中留下的信息痕迹量(即学习强度)。
系统(1)实际上是一伯努利(Bernoulli)方程。易见它有两个常数解:
Z1(t)≡0和
, 百拇医药
当Z1(t)≠0和
时,系统(1)可改写成为
两边积分得
ln|Z|-ln|-β+αZ|=-βt+C
其中C为任意常数。再利用初始条件
确定常数C:
这样,我们就得到系统(1)满足初始条件的解为:
(2)
, 百拇医药
(2)式即为带回忆项时单次学习后的信息痕迹量——时间关系式。对应于初值Z0的所有可能情况,解(2)的大致图象如图1所示。

图1
从图1中可以看出,带上回忆项后,在单次学习情形下,大脑中信息痕迹量的变化趋势与初始信息痕迹量的大小有关,初始信息痕迹量不同,大脑中信息痕迹量的变化趋势也不同,
为其临界值。这在文献[3]中并未得到体现。
3 讨论
3.1 当第一次学习后,如果大脑中留下的信息痕迹量Z0>
,那么无论阀值C的大小如何,都会达到长期记忆中的第二记忆情形。这部分解释了为什么有的人记忆力相当好,基本能达到过目不忘的原因。同时,也说明了学习强度(Z0),也可称为刺激强度对记忆的影响十分大,要想对某一信息达到长期记忆,增强学习强度(或刺激强度)不失为一种比较好的办法。
, 百拇医药
3.2 当第一次学习后大脑中留下的信息痕迹量Z0=
,那么此时由于回忆的作用,大脑中的信息痕迹量会始终保持
不变。若阀值C<
,则达到长期记忆;若阀值C>
,则始终会处于遗忘状态,这时就需要增加学习次数了。
3.3 如果第一次学习后大脑中留下的信息痕迹量Z0<
,根据图1所示,对任意大小的C,尽管回忆可以使信息痕迹量加强,但仍然会很快出现遗忘,此时要想达到长期记忆,就必须考虑增加学习次数。
, 百拇医药
为了讨论的方便,对多次学习记忆情况,我们假设每次学习的间隔时间为τ,每次学习都是瞬间完成的,并且每次重复学习后在大脑中留下的信息痕迹量相等(都为Z0)。当在第一次学习的基础上再进行学习时,由于信息的“保持”作用,第二次学习完成时大脑中的信息痕迹量会发生一次阶跃,变为Z0+Z(1)(τ)(其中Z(1)(τ)为第一次学习后经过τ时间在大脑中留下的记忆信息痕迹量)。若Z0+Z(1)(τ)>
时,即出现第一种情形,已达到了长期记忆;若Z0+Z(1)(τ)≤
,则需进一步地再次学习。
当第三次学习后,大脑中的信息痕迹量再次发生阶跃,变为Z0+Z(2)(τ)。再比较Z0+Z(2)(τ)与临界值
的大小,进行类似讨论。
, 百拇医药
继续下去,即可得一定存在n∈N,使得当经过n次学习后,有Z0+Z(n-1)(τ)>
,即达到长期记忆效果(见图2),其中n的大小与Z0、τ、α、β的大小有关。这说明每个人尽管学习能力各不相同,但总可能会达到长期记忆,这中间只是学习次数多少存在差异。因此俗语说的“勤能补拙”、“笨鸟先飞”是有一定理论依据的。

图2
参考文献
1 阮迪云,寿天德.神经生理学.中国科学技术大学出版社,1992,190~199.
2 汪云九,姚国正.神经系统中学习和记忆的数学模型.自然杂志,1987,10(11):813~817.
3 易非易,任力锋,谢嘉平.学习与记忆模型研究.数理医药学杂志,1997,10(2):105~108.
收稿日期:1999-03-23, 百拇医药
单位:第三军医大学数学教研室 重庆400038
关键词:回忆;学习;记忆 第二记忆;模型
数理医药学杂志990406
摘 要 讨论了一类带回忆项的学习记忆模型,结果表明,大脑中的信息痕迹量的变化趋势与初始信息痕迹量的大小有关,经过多次重复学习后,总会达到长期记忆中的第二记忆情形。
1 引言
学习是指新行为的获得或发展,记忆是指学习得到的行为的保持和再现。学习和记忆是研究中枢神经系统高级活动的中心问题,也是研究得最多最广泛的领域之一。如果学习后信息在大脑中留下的痕迹量低于某一阀值(记为C),就会出现遗忘现象,但同时信息又具有“保持”作用。
, 百拇医药
生理学家按照记忆时间长短不同又分为三类:①感觉记忆:指在实际的感觉体验以后,在脑的感觉区保留很短时间的感觉信号而言的。②短期记忆:又称第一记忆,是指对少数事实、词语、数字、文字或其它的少量信息每次能持续几秒钟到一分钟或更长一些时间的记忆而言的。③长期记忆:是指那些能够在以后的某个时间,几分种、几小时、几天、几月或几年以后被回想出来的脑内贮存的信息而言的。长期记忆又分第二记忆和第三记忆。第二记忆是一种用弱的或仅仅是稍强的记忆痕迹所贮存的长期记忆,此类记忆可以持续几分钟到几年。第三记忆是一种深深地刻在脑海中的记忆,以致这种记忆常常可以持续终生[1]。
到目前为止,对学习和记忆机制的较为深入的研究,积累了大量的资料,主要体现在神经生理和生物化学两个方面。但对学习和记忆模型,特别是数学模型的研究还比较少,文献[2]对此作了概述。近来,文献[3]对学习记忆模型作了进一步研究,但因其考虑的因素较少,故未能得到长期记忆的结果。在实际学习记忆过程中,回忆是必然存在的,并且起着重要作用。因此,本文将在文献[3]的基础上,讨论带回忆项的学习记忆模型,得到了该模型所反映的长期记忆中第二记忆的某些结论。
, http://www.100md.com
2 模型
回忆大脑中已存储的信息也是一种学习过程,但它不必通过感觉器官输入,而直接在大脑中进行内部循环使痕迹加强。一般认为,回忆量与大脑中的信息痕迹量呈正比例关系[3],因此本文讨论如下的带回忆项的学习记忆模型:
Z(0)=Z0
其中β>0为自然衰减系数;α>0为回忆系数;Z(t)为t时刻大脑中的信息痕迹量;Z0为刚好完成学习时大脑中留下的信息痕迹量(即学习强度)。
系统(1)实际上是一伯努利(Bernoulli)方程。易见它有两个常数解:
Z1(t)≡0和
, 百拇医药
当Z1(t)≠0和
两边积分得
ln|Z|-ln|-β+αZ|=-βt+C
其中C为任意常数。再利用初始条件
这样,我们就得到系统(1)满足初始条件的解为:
, 百拇医药
(2)式即为带回忆项时单次学习后的信息痕迹量——时间关系式。对应于初值Z0的所有可能情况,解(2)的大致图象如图1所示。
图1
从图1中可以看出,带上回忆项后,在单次学习情形下,大脑中信息痕迹量的变化趋势与初始信息痕迹量的大小有关,初始信息痕迹量不同,大脑中信息痕迹量的变化趋势也不同,
3 讨论
3.1 当第一次学习后,如果大脑中留下的信息痕迹量Z0>
, 百拇医药
3.2 当第一次学习后大脑中留下的信息痕迹量Z0=
3.3 如果第一次学习后大脑中留下的信息痕迹量Z0<
, 百拇医药
为了讨论的方便,对多次学习记忆情况,我们假设每次学习的间隔时间为τ,每次学习都是瞬间完成的,并且每次重复学习后在大脑中留下的信息痕迹量相等(都为Z0)。当在第一次学习的基础上再进行学习时,由于信息的“保持”作用,第二次学习完成时大脑中的信息痕迹量会发生一次阶跃,变为Z0+Z(1)(τ)(其中Z(1)(τ)为第一次学习后经过τ时间在大脑中留下的记忆信息痕迹量)。若Z0+Z(1)(τ)>
当第三次学习后,大脑中的信息痕迹量再次发生阶跃,变为Z0+Z(2)(τ)。再比较Z0+Z(2)(τ)与临界值
, 百拇医药
继续下去,即可得一定存在n∈N,使得当经过n次学习后,有Z0+Z(n-1)(τ)>
图2
参考文献
1 阮迪云,寿天德.神经生理学.中国科学技术大学出版社,1992,190~199.
2 汪云九,姚国正.神经系统中学习和记忆的数学模型.自然杂志,1987,10(11):813~817.
3 易非易,任力锋,谢嘉平.学习与记忆模型研究.数理医药学杂志,1997,10(2):105~108.
收稿日期:1999-03-23, 百拇医药