萘普生-β-环糊精包合物抗类镇痛作用测定及数据分析
作者:王列群 孙丽娅 马志平 安慧艳 周大伟
单位:内蒙古医学院药学系 呼和浩特010059
关键词:萘普生;β-环糊精;包合物;抗炎镇痛作用 数据分析
数理医药学杂志990450
摘 要 采用电刺激痛阈值法、扭体反应法及足跖肿胀法测定萘普生及萘普生-β-环糊精包合物对大鼠和小鼠的抗炎镇痛作用,结果表明,萘普生-β-环糊精包合物有显著的镇痛、抗炎作用(P<0.01,P<0.01),其镇痛作用优于萘普生单体(P<0.05)。
萘普生(Naproxen,Nap)为芳香醋酸衍生物类非甾体抗炎镇痛药。临床上主要用于治疗类风湿性关节炎、骨关节炎、强直性脊椎炎、痛风、运动系统的慢性变性疾病的常用药物。但由于其溶解度甚微,口服给药的吸收速率常受溶出速率的影响,使其应用受到一定限制。萘普生-β-环糊精包合物系采用特殊工艺制备的一种“分子胶囊”物,可改善溶解度,提高生物利用率,增强治疗效果。为了扩大萘普生的临床应用范围,本文用大鼠和小鼠测定了萘普生及其包合物的抗炎、镇痛作用,并进行了统计学分析。
, http://www.100md.com
1 药品、仪器与动物
1.1 药品 萘普生(赤峰制药厂生产,批号940304);β-环糊精(陶湾化工厂生产);萘普生-β-环糊精包合物(1∶1),本实验室制备[1],含量为标示量98.5%,批号950415。其它化学试剂均为分析纯。
1.2 仪器 WQ-9E型痛阈测量仪(北京海淀电子仪器厂);毛细管放大测量装置,参照文献[2]制备。
1.3 动物 Wistar-Imamichi大鼠,清洁级(二级);昆明种小白鼠,清洁级(二级)。均由内蒙古大学动物实验中心提供。
2 实验方法与结果
2.1 大鼠电刺激痛阈值测定 取体重150±10g的大鼠60只,雌雄各半,随机分成六组,每组10只,禁食12h。以WQ-9E型痛阈测量仪于尾根部行电刺激,测定发出嘶叫声时的电流强度(mA)作为痛阈值(
±SD)。分别给予β-CD,萘普生(12.5mg/kg,25mg/kg)、萘普生-β-环糊精包合物(12.5mg/kg,25mg/kg)配制成混悬液灌胃。给药后定时测量痛阈值,结果见表1。
, 百拇医药
表1 Nap及Nap.β-CD包合物给药后大鼠的痛阈值变化(
±SD)(n=10) 组别
剂量
(mg/kg)
给药前痛
阈值(mA)
给药后不同时间痛阈值(mA)
给药后1h
痛阈值组
内对比(P)
0.5
, http://www.100md.com
1.0
1.5
2.0
3.0(h)
对照组
0.71±0.27
0.66±0.29
0.68±0.28
0.61±0.22
0.56±0.27
0.45±0.20
>0.05
, 百拇医药
萘普生
25.0
0.88±0.18
1.05±0.19
1.16±0.21
1.09±0.24
0.99±0.18*
0.90±0.21
<0.01
12.5
0.76±0.19
0.84±0.30
, 百拇医药
0.96±0.35
0.89±0.32
0.90±0.29*
0.80±0.28
>0.05
包合物
25.0
0.82±0.17
0.96±0.16
1.10±0.21
1.13±0.25
1.08±0.22*
, http://www.100md.com
0.92±0.13
<0.01
12.5
0.75±0.20
0.90±0.23
0.99±0.27
0.91±0.27
0.85±0.14*
0.74±0.21
<0.05
注:* P<0.01
2.2 小白鼠扭体反应的测定 取18~20g小白鼠50只,雌雄各半,随机分为五组,每组10只,禁食12h。分别给予β-CD,萘普生(12.5mg/kg,25mg/kg),萘普生-β-环糊精包合物(12.5mg/kg,25mg/kg)制成混悬液灌胃。给药15min后,腹腔注射新鲜配制的0.3%乙酸溶液0.1mg/10g。使小白鼠产生“歪扭”反应,以小白鼠腹部内凹,躯干与后腿伸张,臀部高起为指标,记录注射乙酸溶液后不同时间的扭体次数,结果见表2。
, http://www.100md.com
表2 Nap及Nap.β-CD包合物给药后小白鼠的扭体反应(n=10) 组别
剂量
(mg/kg)
给药后不同时间扭体次数值(
±SD)
0~15
15~30
30~45
45~60
60~75(min)
对照组
, 百拇医药
44.00±7.30
34.90±6.02
20.20±6.26
10.30±5.68
8.60±2.44
萘普生
12.5
25.30±10.05
26.10±10.02
16.00±4.17
8.67±4.90
7.13±5.28
, 百拇医药
25.0
24.60±16.75
24.70±10.13
12.80±8.19
8.00±6.74
7.70±8.20
包合物
12.5
16.80±8.60
17.60±7.06
7.40±4.15
5.88±4.88
, http://www.100md.com
1.88±1.45
25.0
16.11±11.60
15.50±8.18
8.11±7.52
5.30±4.33
2.30±2.78
2.3 抗炎作用 取体重140±10g雄性大鼠24只,随机分为三组,每组8只,禁食12h,用毛细管放大测量法[2]测大鼠后肢足容积,求出各组动物的正常值(
±SD)。分别以βCD、Nap、Nap.βCD包合物混悬液灌胃。30min后,在此足跖中部注射1%琼脂溶液0.1ml/只,定时测量足跖容积,结果见表4。
, 百拇医药
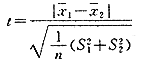
2.4 数据处理及分析
实验数据采用两组t值法进行统计学处理。由于实验组例数相等,故用简化t值公式[3]:
(自由度f=2(n-1))
结果见表1、表3、表5。
表3 给药30min小白鼠扭体次数组间对比 (n=10) 组别
高剂量组
(25mg/kg)
低剂量组
(12.5mg/kg)
, 百拇医药
t值
P
t值
P
萘普生-对照组
2.74
<0.05
2.38
<0.05
包合物-对照组
5.42
<0.01
14.45
, 百拇医药
<0.01
萘普生-包合物
2.23
<0.05
2.17
<0.05
表4 Nap及Nap.β-CD包合物给药后大鼠足跖肿胀率变化(n=8) 组别
剂量
(mg/kg)
足跖正常
体积(ml)
, http://www.100md.com
给药后不同时间足跖肿胀体积(
±SD ml)
0.5
1
2
4
6
8(h)
对照组
0.97±0.06
0.19±0.04
0.23±0.04
, http://www.100md.com
0.27±0.04
0.33±0.09
0.30±0.09
0.27±0.09
萘普生
25.0
1.02±0.05
0.15±0.03
0.19±0.03
0.20±0.05
0.21±0.10
0.18±0.11
, http://www.100md.com
0.16±0.10
包合物
25.0
0.99±0.04
0.12±0.06
0.11±0.04
0.15±0.06
0.20±0.12
0.13±0.08
0.10±0.11
注:f=2(n-1) t0.05=2.101 t0.01=2.878表5 给药后大鼠足跖肿胀数据组间比较 组别
, http://www.100md.com
例数
(每组)
不同时间t检验
0.1
1
2
4
6
8(h)
萘普生-对照组
8
2.26
2.26
, http://www.100md.com
3.09
2.52
2.39
2.31
P<0.05
<0.05
<0.01
<0.05
<0.05
<0.05
包合物-对照组
8
2.75
, http://www.100md.com
6.00
4.71
2.45
3.99
3.38
P<0.05
<0.01
<0.01
<0.05
<0.01
<0.01
萘普生-包合物
8
, 百拇医药
2.83
4.45
2.83
0.69
2.89
2.72
P<0.05
<0.01
<0.05
>0.05
<0.05
<0.05
注:f=2(n-1) t0.05=2.145 t0.01=2.9773 讨论
, 百拇医药
3.1 本实验数据采用简化t值公式计算,方法简单,易操作,结果准确,便于推广。
3.2 经实验证明β-CD无药理作用,与生理盐水比较无差异性,故用β-CD混悬液灌胃组为空白对照组。
3.3 表1得出两种剂量Nap及Nap.β-CD包合物给药后大鼠痛阈值与空白组对比均有显著性差异(P<0.01,P<0.01)。组内对比,高剂量组Nap和Nap.β-CD包合物给药后大鼠痛阈值有显著差异(P<0.01,P<0.01)。低剂量组,包合物有差异(P<0.05),Nap无显著差异(P>0.05)。
小白鼠扭体反应实验结果表明包合物与同剂量Nap相比,扭体次数显著减少。15min内12.5mg/kg组,减少33.61%;25.0mg/kg组,减少34.51%。给药30min小白鼠使次数组间对比有显著差异(P<0.05,P<0.05)。证明包合物在低浓度即呈现镇痛效果。两种试验模型均显示出包合物的镇痛作用强于Nap单体。
, 百拇医药
抗炎试验表明,Nap与其包合物均有显著抗炎作用(P<0.05,P<0.05),包合物的抗炎作用强于Nap单体(P<0.05)。
Nap.β-CD包合物利用环糊精的结构特点,改善Nap的溶解度,提高溶出速率,促进吸收,降低胃肠道的刺激性[4],其抗炎、镇痛作用与Nap单体相当或强于其单体,具有增强治疗效果的特点,利于临床应用范围的扩大及新剂型的开发。
参考文献
1 王烈群等.中国医药工业杂志,1994,25(12):540.
2 徐叔云.药理实验方法学.北京:人民卫生出版社,1982,528.
3 孙瑞元.定量药理学.北京:人民卫生出版社,1987,102.
4 Otero Espinar, F.J; et al. Minutes Int. symp. cyclodextrins, 5th 1990,460-3,Edited by Duchene, Dominique. Ed, Sante: Paris, Fr.
收稿日期:1998-11-01, http://www.100md.com
单位:内蒙古医学院药学系 呼和浩特010059
关键词:萘普生;β-环糊精;包合物;抗炎镇痛作用 数据分析
数理医药学杂志990450
摘 要 采用电刺激痛阈值法、扭体反应法及足跖肿胀法测定萘普生及萘普生-β-环糊精包合物对大鼠和小鼠的抗炎镇痛作用,结果表明,萘普生-β-环糊精包合物有显著的镇痛、抗炎作用(P<0.01,P<0.01),其镇痛作用优于萘普生单体(P<0.05)。
萘普生(Naproxen,Nap)为芳香醋酸衍生物类非甾体抗炎镇痛药。临床上主要用于治疗类风湿性关节炎、骨关节炎、强直性脊椎炎、痛风、运动系统的慢性变性疾病的常用药物。但由于其溶解度甚微,口服给药的吸收速率常受溶出速率的影响,使其应用受到一定限制。萘普生-β-环糊精包合物系采用特殊工艺制备的一种“分子胶囊”物,可改善溶解度,提高生物利用率,增强治疗效果。为了扩大萘普生的临床应用范围,本文用大鼠和小鼠测定了萘普生及其包合物的抗炎、镇痛作用,并进行了统计学分析。
, http://www.100md.com
1 药品、仪器与动物
1.1 药品 萘普生(赤峰制药厂生产,批号940304);β-环糊精(陶湾化工厂生产);萘普生-β-环糊精包合物(1∶1),本实验室制备[1],含量为标示量98.5%,批号950415。其它化学试剂均为分析纯。
1.2 仪器 WQ-9E型痛阈测量仪(北京海淀电子仪器厂);毛细管放大测量装置,参照文献[2]制备。
1.3 动物 Wistar-Imamichi大鼠,清洁级(二级);昆明种小白鼠,清洁级(二级)。均由内蒙古大学动物实验中心提供。
2 实验方法与结果
2.1 大鼠电刺激痛阈值测定 取体重150±10g的大鼠60只,雌雄各半,随机分成六组,每组10只,禁食12h。以WQ-9E型痛阈测量仪于尾根部行电刺激,测定发出嘶叫声时的电流强度(mA)作为痛阈值(
, 百拇医药
表1 Nap及Nap.β-CD包合物给药后大鼠的痛阈值变化(
剂量
(mg/kg)
给药前痛
阈值(mA)
给药后不同时间痛阈值(mA)
给药后1h
痛阈值组
内对比(P)
0.5
, http://www.100md.com
1.0
1.5
2.0
3.0(h)
对照组
0.71±0.27
0.66±0.29
0.68±0.28
0.61±0.22
0.56±0.27
0.45±0.20
>0.05
, 百拇医药
萘普生
25.0
0.88±0.18
1.05±0.19
1.16±0.21
1.09±0.24
0.99±0.18*
0.90±0.21
<0.01
12.5
0.76±0.19
0.84±0.30
, 百拇医药
0.96±0.35
0.89±0.32
0.90±0.29*
0.80±0.28
>0.05
包合物
25.0
0.82±0.17
0.96±0.16
1.10±0.21
1.13±0.25
1.08±0.22*
, http://www.100md.com
0.92±0.13
<0.01
12.5
0.75±0.20
0.90±0.23
0.99±0.27
0.91±0.27
0.85±0.14*
0.74±0.21
<0.05
注:* P<0.01
2.2 小白鼠扭体反应的测定 取18~20g小白鼠50只,雌雄各半,随机分为五组,每组10只,禁食12h。分别给予β-CD,萘普生(12.5mg/kg,25mg/kg),萘普生-β-环糊精包合物(12.5mg/kg,25mg/kg)制成混悬液灌胃。给药15min后,腹腔注射新鲜配制的0.3%乙酸溶液0.1mg/10g。使小白鼠产生“歪扭”反应,以小白鼠腹部内凹,躯干与后腿伸张,臀部高起为指标,记录注射乙酸溶液后不同时间的扭体次数,结果见表2。
, http://www.100md.com
表2 Nap及Nap.β-CD包合物给药后小白鼠的扭体反应(n=10) 组别
剂量
(mg/kg)
给药后不同时间扭体次数值(
0~15
15~30
30~45
45~60
60~75(min)
对照组
, 百拇医药
44.00±7.30
34.90±6.02
20.20±6.26
10.30±5.68
8.60±2.44
萘普生
12.5
25.30±10.05
26.10±10.02
16.00±4.17
8.67±4.90
7.13±5.28
, 百拇医药
25.0
24.60±16.75
24.70±10.13
12.80±8.19
8.00±6.74
7.70±8.20
包合物
12.5
16.80±8.60
17.60±7.06
7.40±4.15
5.88±4.88
, http://www.100md.com
1.88±1.45
25.0
16.11±11.60
15.50±8.18
8.11±7.52
5.30±4.33
2.30±2.78
2.3 抗炎作用 取体重140±10g雄性大鼠24只,随机分为三组,每组8只,禁食12h,用毛细管放大测量法[2]测大鼠后肢足容积,求出各组动物的正常值(
, 百拇医药
2.4 数据处理及分析
实验数据采用两组t值法进行统计学处理。由于实验组例数相等,故用简化t值公式[3]:
(自由度f=2(n-1))
结果见表1、表3、表5。
表3 给药30min小白鼠扭体次数组间对比 (n=10) 组别
高剂量组
(25mg/kg)
低剂量组
(12.5mg/kg)
, 百拇医药
t值
P
t值
P
萘普生-对照组
2.74
<0.05
2.38
<0.05
包合物-对照组
5.42
<0.01
14.45
, 百拇医药
<0.01
萘普生-包合物
2.23
<0.05
2.17
<0.05
表4 Nap及Nap.β-CD包合物给药后大鼠足跖肿胀率变化(n=8) 组别
剂量
(mg/kg)
足跖正常
体积(ml)
, http://www.100md.com
给药后不同时间足跖肿胀体积(
0.5
1
2
4
6
8(h)
对照组
0.97±0.06
0.19±0.04
0.23±0.04
, http://www.100md.com
0.27±0.04
0.33±0.09
0.30±0.09
0.27±0.09
萘普生
25.0
1.02±0.05
0.15±0.03
0.19±0.03
0.20±0.05
0.21±0.10
0.18±0.11
, http://www.100md.com
0.16±0.10
包合物
25.0
0.99±0.04
0.12±0.06
0.11±0.04
0.15±0.06
0.20±0.12
0.13±0.08
0.10±0.11
注:f=2(n-1) t0.05=2.101 t0.01=2.878表5 给药后大鼠足跖肿胀数据组间比较 组别
, http://www.100md.com
例数
(每组)
不同时间t检验
0.1
1
2
4
6
8(h)
萘普生-对照组
8
2.26
2.26
, http://www.100md.com
3.09
2.52
2.39
2.31
P<0.05
<0.05
<0.01
<0.05
<0.05
<0.05
包合物-对照组
8
2.75
, http://www.100md.com
6.00
4.71
2.45
3.99
3.38
P<0.05
<0.01
<0.01
<0.05
<0.01
<0.01
萘普生-包合物
8
, 百拇医药
2.83
4.45
2.83
0.69
2.89
2.72
P<0.05
<0.01
<0.05
>0.05
<0.05
<0.05
注:f=2(n-1) t0.05=2.145 t0.01=2.9773 讨论
, 百拇医药
3.1 本实验数据采用简化t值公式计算,方法简单,易操作,结果准确,便于推广。
3.2 经实验证明β-CD无药理作用,与生理盐水比较无差异性,故用β-CD混悬液灌胃组为空白对照组。
3.3 表1得出两种剂量Nap及Nap.β-CD包合物给药后大鼠痛阈值与空白组对比均有显著性差异(P<0.01,P<0.01)。组内对比,高剂量组Nap和Nap.β-CD包合物给药后大鼠痛阈值有显著差异(P<0.01,P<0.01)。低剂量组,包合物有差异(P<0.05),Nap无显著差异(P>0.05)。
小白鼠扭体反应实验结果表明包合物与同剂量Nap相比,扭体次数显著减少。15min内12.5mg/kg组,减少33.61%;25.0mg/kg组,减少34.51%。给药30min小白鼠使次数组间对比有显著差异(P<0.05,P<0.05)。证明包合物在低浓度即呈现镇痛效果。两种试验模型均显示出包合物的镇痛作用强于Nap单体。
, 百拇医药
抗炎试验表明,Nap与其包合物均有显著抗炎作用(P<0.05,P<0.05),包合物的抗炎作用强于Nap单体(P<0.05)。
Nap.β-CD包合物利用环糊精的结构特点,改善Nap的溶解度,提高溶出速率,促进吸收,降低胃肠道的刺激性[4],其抗炎、镇痛作用与Nap单体相当或强于其单体,具有增强治疗效果的特点,利于临床应用范围的扩大及新剂型的开发。
参考文献
1 王烈群等.中国医药工业杂志,1994,25(12):540.
2 徐叔云.药理实验方法学.北京:人民卫生出版社,1982,528.
3 孙瑞元.定量药理学.北京:人民卫生出版社,1987,102.
4 Otero Espinar, F.J; et al. Minutes Int. symp. cyclodextrins, 5th 1990,460-3,Edited by Duchene, Dominique. Ed, Sante: Paris, Fr.
收稿日期:1998-11-01, http://www.100md.com