当前位置: 首页 > 期刊 > 《数理医药学杂志》 > 2000年第1期
编号:10261444
应用圆形分布法对蒙阴县4种自然疫源性疾病时间分布规律的探讨
http://www.100md.com 《数理医药学杂志》 2000年第1期
     作者:龚涛 苗国强 王均利

    单位:龚涛(山东省蒙阴县卫生防疫站 蒙阴276200); 苗国强(山东省蒙阴县卫生防疫站 蒙阴276200); 王均利(山东省蒙阴县卫生防疫站 蒙阴276200)

    关键词:圆形分布法;自然疫源性疾病;流行规律

    数理医药学杂志000141

    摘 要:应用圆形分布法对蒙阴县1956~1977年4种自然疫源性疾病发病的时间分布规律进行了探讨。结果表明,4种自然疫源性疾病均存在季节性升高的特征,差异具有高度显著性(P<0.01)。

    中图分类号:R 181.2

    文章编号:1004-4337(2000)01-0072-02▲
, http://www.100md.com
    自然疫源性疾病多具有严格的地区性和季节性,分析其季节性变动规律对当地制定有效的防治措施有很大的参考价值。本文应用圆形分布法对蒙阴县1956~1997年流行性乙型脑炎、流行性出血热、钩端螺旋体病和恙虫病4种自然疫源性疾病发病的季节性规律进行了初步探讨。

    1 资料与方法

    1.1 资料来源 1956~1997年4种自然疫源性疾病发病数字等资料来源于本站传染病疫情档案。

    1.2 计算方法 圆形分布中反映疾病发病高峰时点的指标是角均数,表示离散度的指标是角标准差,其计算方法如下:为角均数,S为标准差,r表示集中的度量。

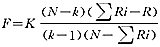
    不同年份样本均数应用Watson-Williams提出的F检验,公式为:
, 百拇医药
    式中,K为校正因子,N为各样本含量之和,k为样本个数,∑Ri为各样本例数与r的乘积和,R为k个样本合并后求得的R值。

    校正因子可根据r值查K值表,F检验界值可根据自由度(υ1=k-1,υ2=N-k)查方差分析用表[1]

    本文在具体计算时,应用Excel软件的函数功能进行数据处理。首先将上述公式及相应的一些关系式按Excel软件的函数格式[2]输入微机,再将某病各月的病例数输入,系统即可自动给出所求的值、S值、r值、F值、高峰日、高峰期范围等结果数据。

    2 结果与分析

    2.1 4种自然疫源性疾病发病季节性高峰期时间分布
, 百拇医药
    将蒙阴县156~1997年4种自然疫源性疾病资料按上述方法输入微机进行数据处理,结果见表1。

    表1 4种自然疫源性疾病发病高峰时间和圆分布指标 病种

    S

    高峰日

    高峰期

    N

    r

    P

    乙 脑

    229.0155

, 百拇医药     22.0435

    8.21

    7.29~9.12

    1241

    0.9287

    <0.01

    出血热

    331.3010

    95.9538

    11.22

    8.28~3.9

    5836

    0.2490
, 百拇医药
    <0.01

    钩 体

    221.3257

    14.6941

    8.13

    7.29~8.28

    1632

    0.9676

    <0.01

    恙虫病

    298.9341

    34.4810

, 百拇医药     11.1

    9.24~12.5

    349

    0.8344

    <0.01

    将以上4种自然疫源性疾病统计结果与实际发病情况比较可以看出,高峰期范围内的理论发病数与其相应传染病的实际发病数基本吻合。

    2.2 季节高峰差异的假设检验

    圆形分布指标中,r值的大小是角均数的集中测度指标,分析某一疾病是否存在发病季节高峰特征,则需进行假设检验。检验是根据某病发病例数与r值,查“圆形分布r值表”,本文检验结果见表1。
, http://www.100md.com
    结果表明蒙阴县4种自然疫源性疾病均有季节性升高特征,差异具有高度显著性(P<0.01)。可以认为4种疾病均存在季节性发病高峰。

    2.3 同一疾病不同年份发病高峰的比较

    应用F检验公式对4种自然疫源性疾病不同年份的发病高峰进行比较,检验结果见表2。表2 4种自然疫源性疾病不同年份发病高峰的比较结果 病种

    K

    N

    k

    ∑Ri

    R

    F

    P
, http://www.100md.com
    乙 脑

    1.0573

    1241

    40

    1163.8198

    1152.4707

    4.7877

    <0.01

    出血热

    1.7583

    5836

    17

    1731.2578
, 百拇医药
    1453.2835

    43.3052

    <0.01

    钩 体

    1.0294

    1632

    11

    1605.3995

    1579.2033

    164.3300

    <0.01

    恙虫病

, http://www.100md.com     1.1136

    349

    4

    299.5018

    291.1930

    21.4967

    <0.01

    结果表明,蒙阴县4种自然疫源性疾病的F值均有高度显著性(P<0.01),表明各种疾病不同年份的发病高峰是不同的。

    3 讨论

    圆形分布法是将具有周期性变化的资料转化成角度资料后,计算有关参数的统计方法,常用于某些疾病时间分布规律的研究。其优点在于可直接计算发病高峰日、高峰期,以及进行季节高峰差异的假设检验。因此另外一些分析疾病发生时间聚集性的方法,如集中度、余弦模型等往往结合圆形分布法对数据进行综合分析[3,4]
, 百拇医药
    本文在统计计算时应用微机利用Excel软件进行数据处理,大大提高了工作效率和结果的准确性。Excel是美国Microsoft公司推出的电子表格软件,其强大的函数功能还可进行其他多种统计数据的处理[5]

    通过本文统计分析表明,4种自然疫源性疾病均存在季节性发病高峰,乙脑、出血热、钩体与其流行病学特征所描述的季节高峰基本一致[6],而蒙阴县恙虫病的发病高峰不同于南方省区较普遍的夏季型[7]。对4种疾病的发病季节高峰进行显著性检验表明,均存在季节性升高的特征,差异有高度显著性(P<0.01);对同一疾病不同年份发病高峰应用F检验进行比较,F值均有高度显著性(P<0.01),表明4种自然疫源性疾病不同年份的发病高峰是不同的,但都集中在一个大致范围,基本接近42年合并计算的发病高峰期。■

    参考文献:

    [1] 徐宝华主编.预防医学统计学.山东大学出版社,1991,214~223.
, 百拇医药
    [2] 高戈主编.怎样使用Microsoft Excel 97中文版.电子工业出版社,1997,141~173.

    [3] 孙灵英,任亚琴,肖伟飞.用集中度分析传染病的季节性分布.疾病监测,1998,13(1):127.

    [4] 刘飚,杨天英,朱宝兰等.应用余弦模型对河南省菌苗接种后流脑季节性特征分析.疾病监测,1998,13(9):344.

    [5] 张宝珍,董大钧,曹伟平等.利用Excel进行医学统计方差分析.中国公共卫生,1999,15(2):138.

    [6] 魏承毓主编.实用流行病学.甘肃科学技术出版社,1989,619~723.

    [7] 王均利,李萍,段爱香等.蒙阴县恙虫病调查报告.临沂医专学报,1996,18(2):123.

    收稿日期:1999-05-23, 百拇医药