甘氨酸与多粘菌素B联用拮抗内毒素致热性及降多粘菌素B毒性的研究
作者:鲁伟 陆大祥 王彦平 李楚杰
单位:鲁伟(中山医科大学生理教研室,广东 广州 510080);陆大祥 王彦平 李楚杰(暨南大学医学院病理生理教研室,广东 广州 510632)
关键词:内毒素类;甘氨酸;多粘菌素B
中国病理生理杂志000607 [摘 要] 目的:研究甘氨酸(Gly)和多粘菌素B(PMB)联合应用对内毒素(ET)的拮抗作用以及两者联用的毒性。方法:(1)利用封闭群新西兰家兔发热模型,观察Gly和PMB联用对ET致热性的影响及其最佳组合比例,观察指标包括平均体温反应曲线、最大体温反应幅度、体温反应指数;(2)利用LD50观察Gly、PMB及两者联用对小鼠的毒性。结果:(1)PMB、Gly对ET致热性有明显协同拮抗作用(P<0.05);(2)两者联合拮抗内毒素(0.01 μg)的最佳组合为PMB(30 000 U)+Gly(15 mg);(3)小鼠静脉给药PMB的LD50为6.06×104 U/kg.w,合剂 (组成为PMB 30 000 U∶Gly 15 mg)中PMB的LD50为8.38 ×104 U/kg.w,剂量显著增大 (P<0.05),毒性明显下降。结论:甘氨酸和多粘菌素B联合应用是增效降毒的。
, 百拇医药
[中图分类号] R310-47 [文献标识码] A
[文章编号] 1000-4718(2000)06-0504-04
Synergetic antagonism of polymyxin B associated with glycine to pyrogenous effect of endotoxin
LU Da-xiang, WANG Yan-ping, LI Chu-jie
(Department of Pathophysiology, Medical College, Jinan University, Guangzhou 510632, China)
LU Wei
, 百拇医药 (Department of Physiology, Sun Yat-sen University of Medical Sciences, Guangzhou 510089, China)
[Abstract] AIM and METHODS: To investigate the antagonistic effects of polymyxin B(PMB) in combination with glycine(Gly) on the pyrogenicity of endotoxin(ET) in rabbits and the LD50 of PMB in mice. RESULTS: (1)The antagonistic effect of PMB plus Gly was augmented and the optimal combination was PMB(30 000 U) plus Gly(15 mg) to ET(0.01 μg); (2)The LD50 of PMB with or without Gly were 8.38×104 U/kg and 6.06×104 U/kg in mice, respectively. CONCLUSION: The antagonistic effect of PMB plus Gly on ET showed synergnism and this combination could decrease the toxicity of PMB.
, 百拇医药
[MeSH] Endotoxins; Glycine; Polymyxin B
在严重的革兰氏阴性细菌感染中,由于大量内毒素(endotoxin,ET)进入血液循环,导致宿主免疫反应的激活和大量细胞因子的产生等一系列机体的过度反应进而造成多器官、多系统的损害。到目前为止,仍然没有一种行之有效的方法能够拮抗ET的这些致病作用。陆大祥等[1,2]在内毒素拮抗剂的研究中发现甘氨酸(glycine,Gly)能显著拮抗内毒素的致热性等;对其机制的研究发现Gly不同于常规抗生素的作用,能在一定程度上破坏ET的超微结构,从而干扰ET的活性,而多粘菌素B对革兰氏阴性细菌有强效杀菌作用,同时又是有效的内毒素拮抗剂,故我们在已有的研究基础上,联合应用Gly和多粘菌素B(polymyxin B,PMB),观察两者是否能协同拮抗ET及其可能的机制。
材 料 和 方 法
一、Gly、PMB联合拮抗ET效应及最佳组合比例的观察
, http://www.100md.com
(一) 动物 健康封闭群新西兰家兔,第一军医大学动物所提供,体重1.9~2.5 kg,雌(无孕)雄不拘,单笼、颗粒饲料喂养,自由饮水。实验前模拟正式实验条件,使动物适应3 d。
(二) 试剂和仪器 Gly 广东汕头新宁化工厂出品;PMB 美国Gbico公司出品;大肠杆菌ET,第二军医大学提供;无热原生理盐水(NS), 暨南大学医学院提供;ST-1型数字体温计,上海医用仪表厂制造。
(三) 动物分组及处理因素
1. Gly、PMB联用拮抗ET效应的观察 将实验动物随机分成8组,分批进行实验,各组处理因素如下:①ET组(ET 0.01 μg/mL,n=11);②PMB拮抗组(ET 0.01 μg/mL, PMB 30 000 U/mL,n=9);③Gly拮抗组(ET 0.01 μg/mL, Gly 150 mg/mL,n=10); ④ PMB+Gly联合拮抗组(ET 0.01 μg/mL, PMB15 000 U/mL,Gly 75 mg/mL,n=7);⑤PMB对照组(PMB 30 000 U/mL,n=7);⑥ Gly对照组(Gly 150 mg/mL,n=6); ⑦ PMB+Gly联合对照组(PMB 15 000 U/mL,Gly 75 mg/mL,n=6);⑧NS空白对照组(NS,n=5)。
, 百拇医药
2. Gly、PMB联合拮抗ET(0.01 μg/mL)的最佳组合比例的观察 根据正交实验设计,将实验动物随机分成16组,每组2只,分批进行实验,各组处理因素如下:No.1(G1P1),No.2(G1P2),No.3(G1P3),No.4(G1P4),No.5(G2P1),No.6(G2P2),No.7(G2P3),No.8(G2P4),No.9(G3P1),No.10(G3P2),No.11(G3P3),No.12(G3P4),No.13(G4P1),No.14(G4P2),No.15(G4P3),No.16(G4P4)。其中P1为30.00×103 U/mL, P2为9.38×103 U/mL, P3为3.00×103 U/mL, P4为0;G1为150 mg/mL,G2为 46.9 mg/mL,G3为 15 mg/mL,G4为0。
(四) 实验步骤
1. 根据实验分组,由耳缘静脉给药,1 mL/kg.w 。
, 百拇医药
2. 体温测定 将动物固定于发热实验架上,每10 min记录1次直肠温度,以给药前3次均数为正常基础体温。给药后1 h内每5 min记录1次直肠温度,第2~4 h每10 min记录1次,观察给药后4 h内动物的体温变化。
(五) 观察指标和数据处理
平均体温反应曲线、4 h体温反应指数(TRI4)及最大体温反应幅度(△T)来分析体温变化情况。
所有数据均以均数±标准差(
±s)表示,用正交法和方差分析进行拮抗效应及两者联合应用时交互作用的显著性检验。
二、Gly、PMB及两者联用时小鼠毒性的观察
(一) 动物 昆明系小鼠60只,暨南大学动物所提供,性别不拘,体重18~25 g。
, 百拇医药
(二) 试剂 同上。
(三) 实验方法 按序贯法[3]设计小鼠毒性实验,用Dixon-Mook改良法,求出Gly、PMB及Gly+PMB的LD50。
(四) 实验数据处理 将PMB单用及与Gly两者联用时的LD50的差异显著性进行t检验。
结 果
一、Gly、PMB联合拮抗ET的效应
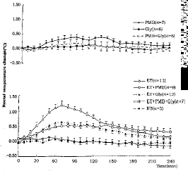
(一) 平均体温反应曲线,见图1。
Fig 1 Comparison of mean curve of thermal response
, 百拇医药
to ET antagonisted by Gly or/and PMB(
±s)
图1 甘氨酸、多粘菌素B拮抗内毒素的平均体温
反应曲线比较
(二) TRI4和ΔT见表1。
表1 甘氨酸、多粘菌素B联合用药对ET致热性的影响
Tab 1 Rectal temperature response to the intravenous
injection of ET(0.01 μg/kg) with PMB (×103 U/kg)
, http://www.100md.com
and Gly (mg/kg) (
±s) Treatments
n
TRI4
ΔT
ET
11
2.31±0.24#
1.26±0.11#
ET+Gly(150)
10
, http://www.100md.com
1.32±0.25*#
0.76±0.13*#
ET+PMB(30)
9
1.55±0.31*#
0.67±0.09*#
ET+Gly (75)+
PMB (15)
7
-0.11±0.22*
, 百拇医药 0.21±0.07*
Gly (150)
6
0.11±0.42*
0.22±0.09*
PMB (30)
7
0.88±0.22*
0.50±0.05*
Gly (75)+PMB (15)
6
, http://www.100md.com
0.25±0.51*
0.30±0.10*
NS
5
-0.13±0.31*
0.16±0.06*
* P<0.05,vs ET; # P<0.05, vs NS; PET+Gly, ET+PMB
<0.05; PET+PMB, ET+PMB+Gly<0.05表2 甘氨酸、多粘菌素B不同组合拮抗内毒素
交互作用的正交分析
, 百拇医药
Tab 2 Orthogonal analysis of cooperative effects on endotoxin
with glycine and polymyxin B at respectively four different levels
Gly
PMB
Gly×PMB
1
1
1
1
1
, 百拇医药
1
2
1
2
2
2
2
3
1
3
3
3
3
4
, 百拇医药
1
4
4
4
4
5
2
1
2
3
4
6
2
2
, 百拇医药
1
4
3
7
2
3
4
1
2
8
2
4
3
2
, 百拇医药
1
9
3
1
3
4
2
10
3
2
4
3
1
11
, http://www.100md.com
3
3
1
2
4
12
3
4
2
1
3
13
4
1
, http://www.100md.com
4
2
3
14
4
2
3
1
4
15
4
3
2
4
, 百拇医药
1
16
4
4
1
3
2
TRI4
K1
3.28
5.51
6.60
4.93
, http://www.100md.com
6.03
K2
9.02
1.06
3.97
10.84
4.23
K3
4.11
-2.42
6.13
5.71
, 百拇医药 8.27
K4
8.87
21.13
8.58
3.80
6.14
△T
K1
3.7
3.6
4.3
4.0
, 百拇医药
4.7
K2
5.0
1.4
4.1
6.4
3.5
K3
3.8
1.2
4.3
3.6
5.1
, 百拇医药
K4
5.2
11.5
5.0
3.7
4.4
Gly:(1) 150 mg/mL;(2) 46.9 mg/mL; (3) 15 mg/mL; (4) 0 mg/mL; PMB: (1) 30×103 U/mL; (2) 9.38×103 U/mL; (3) 3.0×103 U/mL; (4) 0 U/mL; K1: level 1; K2: level 2; K3: level 3; K4: level 4
, http://www.100md.com
二、Gly、PMB不同组合拮抗ET的效应比较
对L16(42)正交表中ΔT和TRI4的实验数据进行方差分析,FGly,FPMB, FPMB+Gly的P值分别为:P<0.05,P<0.01,判断Gly的效应是显著(P<0.05)的,PMB的效应是极显著 (P<0.01)的,Gly和PMB的交互作用是显著存在的(P<0.05),见表2。
进一步建立L9(32)正交表分析Gly、PMB高、中、低3剂量水平间9种组合的最佳比例。从交互作用列中选出好水平为:列3的3水平,列4的2水平,对应的Gly、PMB的组合为P1G3,即Gly、PMB的最佳组合为P1G3(PMB 30 000 U∶Gly 15 mg),见表3。
, http://www.100md.com
三、Gly与PMB联用的毒性变化
PMB单用时LD50为6.06×104U/kg.w;Gly和PMB按选出的最佳比例:P1G3(PMB 30 000 U∶Gly 15 mg)组合,其LD50为8.38×104 U/kg.w PMB+0.041 g /kg.w Gly。
对logLD50、SlogLD50分析,可知在P1G3合剂的半数致死剂量中PMB剂量与单独用PMB 时的半数致死剂量差异有显著(P<0.05)。
表3 甘氨酸、多粘菌素B三水平间组合拮抗内毒素最佳比例正交分析
, 百拇医药
Tab 3 Orthogonal analysis of optimal pattern of glycine and
polymyxin B at respectively three different levels
Gly
PMB
Gly ×PMB
1
1
1
1
1
2
, http://www.100md.com
1
2
2
2
3
1
3
3
3
4
2
1
2
3
, http://www.100md.com
5
2
2
3
1
6
2
3
1
2
7
3
1
3
, 百拇医药
2
8
3
2
1
3
9
3
3
2
1
TRI4
K1
, http://www.100md.com
0.20
1.31
0.12
1.13
K2
0.71
0.48
0.94
-0.63
K3
-0.28
-1.16
, 百拇医药 -0.43
0.13
△T
K1
1.2
1.7
1.1
1.7
K2
1.3
1.0
1.7
0.9
, 百拇医药
K3
1.1
0.9
0.8
1.0
Gly: 1 150 mg/mL; 2 46.9 mg/mL; 3 15 mg/mL;
PMB: 1 30×103 U/mL; 2 9.38×103 U/mL; 3 3.0×103 U/mL
K1: level 1; K2: level 2; K3: level 3讨 论
, 百拇医药
ET是存在于革兰氏阴性细菌细胞壁外膜中,是广泛存在于自然界的致病原,其损害作用几乎遍及全身各器官和组织,故ET在革兰氏阴性细菌感染的发病机制中扮演着十分重要的角色,也必然成为治疗的靶目标之一。ET三维空间结构完整性的维持与其能否发挥生物学作用密切相关,故针对ET结构的拮抗剂成为研究的热点。
PMB对革兰氏阴性细菌有强效杀菌作用,同时又是有效的ET拮抗剂[4],但由于其毒副作用限制了它的临床应用。我们在先前的ET拮抗剂的研究中,发现Gly有比较好的拮抗ET作用,有可能是一种有效的ET拮抗剂,但能否应用于体内尚须进一步深入研究。
基于国内外研究成果和现况,为了进一步提高Gly或PMB对ET的拮抗效应和降低PMB的毒性作用,本实验将Gly和PMB联合应用,观察两者的协同拮抗效应、最佳组合比例。
对Gly、PMB联合用药拮抗ET致热性的观察和分析,发现PMB(15 000 U)+Gly(75 mg)拮抗ET(0.01 μg)的效应强于PMB(30 000 U)或Gly(150 mg)的拮抗效应,认为PMB、Gly在联合用药时对ET具有协同拮抗作用,显著提高了PMB、Gly分别对ET的拮抗效果。进一步利用正交法实验设计,观察了PMB和Gly的高、中、低剂量之间不同组合,对ET致热性的拮抗效果,发现PMB、Gly之间有显著交互作用且两者的最佳组合比例为P1G3(PMB 30 000 U∶Gly 15 mg)。
, 百拇医药
通过这两部分实验,我们明确了PMB和Gly具有协同拮抗ET的效应,而两药协同作用的机制往往是药物能在多个环节同时发挥作用,产生协同效应。因此,我们推测Gly不仅本身发挥拮抗ET的作用,还可能作为PMB的增效剂,提高其拮抗效应。
P1G3联合用药方案不仅具有协同拮抗ET的效应,同时可使PMB的半数致死剂量增加,即降低其毒性。Gly是机体固有的氨基酸,不仅是构建机体的成分,还可在细胞、器官和整体水平防止各种有毒物质引起的死亡。Weinberg等[5]观察到在肾近球小管细胞上,Gly可通过与受体结合,抑制氯通道介导的氯离子内流,从而起细胞保护作用;Aleo等[6]认为Gly是神经元的士的宁敏感的Gly受体激动剂,具有细胞保护作用。而PMB的抗菌效果强,但毒性大,主要是神经毒性和肾毒性,故机体对PMB耐受性的提高是否与Gly的这两方面细胞保护作用有关,有待进一步研究。
, 百拇医药 实验表明PMB和Gly联合应用有协同拮抗ET的效应,而且降低了PMB的毒性。因此,两种作用于多个环节、不同机制的ET拮抗剂的联合应用,尤其是增效减毒合剂模型的提出和初步探讨,为今后ET的基础研究和抗ET治疗的临床研究开拓了一个有广阔前景的研究方向和领域。至于Gly与PMB协同机制也是一个极有意义的课题,我们将在以后的研究中加以探讨。
[基金项目] 广东省卫生系统“五个一科教兴医工程”重点科研项目
[参 考 文 献]
[1] 陆大祥,李楚杰,付咏梅,等. 甘氨酸对ET致热性的拮抗作用研究[J].中国病理生理杂志,1996,12(3):235~238.
[2] 孙 葳,陆大祥,丁 勇,等.甘氨酸对ET与单核细胞结合率及ET构型的影响[J].中国病理生理杂志,1998,14(4):359~361.
, 百拇医药
[3] 徐叔云.药理实验设计和统计分析[M].见:徐叔云,卞如濂,陈修主编.药理实验方法学.第1版.北京:人民卫生出版社,1982. 400~428.
[4] Durando MM, Macky RJ, Mstat SL, et al. Effects of polymyxin B and Salmonella typhinyrium antiserum on horses giben endotoxin intravenously[J]. Am J Vet Res, 1994,55(7):921~935.
[5] Miller GW, Schnekkmann RG. Cytoprotection by inhibition of chloride channels:the mechanism of action of glycine and strychnine[J]. Life Sci,1993,53:1211~1215.
[6] Aleo MD, Schmellmann RG. The neurotoxicants strychnine and bicuculline protect renal proximal tubules from mitochondrial inhibitor induced cell death[J]. Life Sci,1992,51:1783~1787.
[收稿日期] 1999-12-01 [修回日期] 2000-01-11
, 百拇医药
单位:鲁伟(中山医科大学生理教研室,广东 广州 510080);陆大祥 王彦平 李楚杰(暨南大学医学院病理生理教研室,广东 广州 510632)
关键词:内毒素类;甘氨酸;多粘菌素B
中国病理生理杂志000607 [摘 要] 目的:研究甘氨酸(Gly)和多粘菌素B(PMB)联合应用对内毒素(ET)的拮抗作用以及两者联用的毒性。方法:(1)利用封闭群新西兰家兔发热模型,观察Gly和PMB联用对ET致热性的影响及其最佳组合比例,观察指标包括平均体温反应曲线、最大体温反应幅度、体温反应指数;(2)利用LD50观察Gly、PMB及两者联用对小鼠的毒性。结果:(1)PMB、Gly对ET致热性有明显协同拮抗作用(P<0.05);(2)两者联合拮抗内毒素(0.01 μg)的最佳组合为PMB(30 000 U)+Gly(15 mg);(3)小鼠静脉给药PMB的LD50为6.06×104 U/kg.w,合剂 (组成为PMB 30 000 U∶Gly 15 mg)中PMB的LD50为8.38 ×104 U/kg.w,剂量显著增大 (P<0.05),毒性明显下降。结论:甘氨酸和多粘菌素B联合应用是增效降毒的。
, 百拇医药
[中图分类号] R310-47 [文献标识码] A
[文章编号] 1000-4718(2000)06-0504-04
Synergetic antagonism of polymyxin B associated with glycine to pyrogenous effect of endotoxin
LU Da-xiang, WANG Yan-ping, LI Chu-jie
(Department of Pathophysiology, Medical College, Jinan University, Guangzhou 510632, China)
LU Wei
, 百拇医药 (Department of Physiology, Sun Yat-sen University of Medical Sciences, Guangzhou 510089, China)
[Abstract] AIM and METHODS: To investigate the antagonistic effects of polymyxin B(PMB) in combination with glycine(Gly) on the pyrogenicity of endotoxin(ET) in rabbits and the LD50 of PMB in mice. RESULTS: (1)The antagonistic effect of PMB plus Gly was augmented and the optimal combination was PMB(30 000 U) plus Gly(15 mg) to ET(0.01 μg); (2)The LD50 of PMB with or without Gly were 8.38×104 U/kg and 6.06×104 U/kg in mice, respectively. CONCLUSION: The antagonistic effect of PMB plus Gly on ET showed synergnism and this combination could decrease the toxicity of PMB.
, 百拇医药
[MeSH] Endotoxins; Glycine; Polymyxin B
在严重的革兰氏阴性细菌感染中,由于大量内毒素(endotoxin,ET)进入血液循环,导致宿主免疫反应的激活和大量细胞因子的产生等一系列机体的过度反应进而造成多器官、多系统的损害。到目前为止,仍然没有一种行之有效的方法能够拮抗ET的这些致病作用。陆大祥等[1,2]在内毒素拮抗剂的研究中发现甘氨酸(glycine,Gly)能显著拮抗内毒素的致热性等;对其机制的研究发现Gly不同于常规抗生素的作用,能在一定程度上破坏ET的超微结构,从而干扰ET的活性,而多粘菌素B对革兰氏阴性细菌有强效杀菌作用,同时又是有效的内毒素拮抗剂,故我们在已有的研究基础上,联合应用Gly和多粘菌素B(polymyxin B,PMB),观察两者是否能协同拮抗ET及其可能的机制。
材 料 和 方 法
一、Gly、PMB联合拮抗ET效应及最佳组合比例的观察
, http://www.100md.com
(一) 动物 健康封闭群新西兰家兔,第一军医大学动物所提供,体重1.9~2.5 kg,雌(无孕)雄不拘,单笼、颗粒饲料喂养,自由饮水。实验前模拟正式实验条件,使动物适应3 d。
(二) 试剂和仪器 Gly 广东汕头新宁化工厂出品;PMB 美国Gbico公司出品;大肠杆菌ET,第二军医大学提供;无热原生理盐水(NS), 暨南大学医学院提供;ST-1型数字体温计,上海医用仪表厂制造。
(三) 动物分组及处理因素
1. Gly、PMB联用拮抗ET效应的观察 将实验动物随机分成8组,分批进行实验,各组处理因素如下:①ET组(ET 0.01 μg/mL,n=11);②PMB拮抗组(ET 0.01 μg/mL, PMB 30 000 U/mL,n=9);③Gly拮抗组(ET 0.01 μg/mL, Gly 150 mg/mL,n=10); ④ PMB+Gly联合拮抗组(ET 0.01 μg/mL, PMB15 000 U/mL,Gly 75 mg/mL,n=7);⑤PMB对照组(PMB 30 000 U/mL,n=7);⑥ Gly对照组(Gly 150 mg/mL,n=6); ⑦ PMB+Gly联合对照组(PMB 15 000 U/mL,Gly 75 mg/mL,n=6);⑧NS空白对照组(NS,n=5)。
, 百拇医药
2. Gly、PMB联合拮抗ET(0.01 μg/mL)的最佳组合比例的观察 根据正交实验设计,将实验动物随机分成16组,每组2只,分批进行实验,各组处理因素如下:No.1(G1P1),No.2(G1P2),No.3(G1P3),No.4(G1P4),No.5(G2P1),No.6(G2P2),No.7(G2P3),No.8(G2P4),No.9(G3P1),No.10(G3P2),No.11(G3P3),No.12(G3P4),No.13(G4P1),No.14(G4P2),No.15(G4P3),No.16(G4P4)。其中P1为30.00×103 U/mL, P2为9.38×103 U/mL, P3为3.00×103 U/mL, P4为0;G1为150 mg/mL,G2为 46.9 mg/mL,G3为 15 mg/mL,G4为0。
(四) 实验步骤
1. 根据实验分组,由耳缘静脉给药,1 mL/kg.w 。
, 百拇医药
2. 体温测定 将动物固定于发热实验架上,每10 min记录1次直肠温度,以给药前3次均数为正常基础体温。给药后1 h内每5 min记录1次直肠温度,第2~4 h每10 min记录1次,观察给药后4 h内动物的体温变化。
(五) 观察指标和数据处理
平均体温反应曲线、4 h体温反应指数(TRI4)及最大体温反应幅度(△T)来分析体温变化情况。
所有数据均以均数±标准差(
二、Gly、PMB及两者联用时小鼠毒性的观察
(一) 动物 昆明系小鼠60只,暨南大学动物所提供,性别不拘,体重18~25 g。
, 百拇医药
(二) 试剂 同上。
(三) 实验方法 按序贯法[3]设计小鼠毒性实验,用Dixon-Mook改良法,求出Gly、PMB及Gly+PMB的LD50。
(四) 实验数据处理 将PMB单用及与Gly两者联用时的LD50的差异显著性进行t检验。
结 果
一、Gly、PMB联合拮抗ET的效应
(一) 平均体温反应曲线,见图1。
Fig 1 Comparison of mean curve of thermal response
, 百拇医药
to ET antagonisted by Gly or/and PMB(
图1 甘氨酸、多粘菌素B拮抗内毒素的平均体温
反应曲线比较
(二) TRI4和ΔT见表1。
表1 甘氨酸、多粘菌素B联合用药对ET致热性的影响
Tab 1 Rectal temperature response to the intravenous
injection of ET(0.01 μg/kg) with PMB (×103 U/kg)
, http://www.100md.com
and Gly (mg/kg) (
n
TRI4
ΔT
ET
11
2.31±0.24#
1.26±0.11#
ET+Gly(150)
10
, http://www.100md.com
1.32±0.25*#
0.76±0.13*#
ET+PMB(30)
9
1.55±0.31*#
0.67±0.09*#
ET+Gly (75)+
PMB (15)
7
-0.11±0.22*
, 百拇医药 0.21±0.07*
Gly (150)
6
0.11±0.42*
0.22±0.09*
PMB (30)
7
0.88±0.22*
0.50±0.05*
Gly (75)+PMB (15)
6
, http://www.100md.com
0.25±0.51*
0.30±0.10*
NS
5
-0.13±0.31*
0.16±0.06*
* P<0.05,vs ET; # P<0.05, vs NS; PET+Gly, ET+PMB
<0.05; PET+PMB, ET+PMB+Gly<0.05表2 甘氨酸、多粘菌素B不同组合拮抗内毒素
交互作用的正交分析
, 百拇医药
Tab 2 Orthogonal analysis of cooperative effects on endotoxin
with glycine and polymyxin B at respectively four different levels
Gly
PMB
Gly×PMB
1
1
1
1
1
, 百拇医药
1
2
1
2
2
2
2
3
1
3
3
3
3
4
, 百拇医药
1
4
4
4
4
5
2
1
2
3
4
6
2
2
, 百拇医药
1
4
3
7
2
3
4
1
2
8
2
4
3
2
, 百拇医药
1
9
3
1
3
4
2
10
3
2
4
3
1
11
, http://www.100md.com
3
3
1
2
4
12
3
4
2
1
3
13
4
1
, http://www.100md.com
4
2
3
14
4
2
3
1
4
15
4
3
2
4
, 百拇医药
1
16
4
4
1
3
2
TRI4
K1
3.28
5.51
6.60
4.93
, http://www.100md.com
6.03
K2
9.02
1.06
3.97
10.84
4.23
K3
4.11
-2.42
6.13
5.71
, 百拇医药 8.27
K4
8.87
21.13
8.58
3.80
6.14
△T
K1
3.7
3.6
4.3
4.0
, 百拇医药
4.7
K2
5.0
1.4
4.1
6.4
3.5
K3
3.8
1.2
4.3
3.6
5.1
, 百拇医药
K4
5.2
11.5
5.0
3.7
4.4
Gly:(1) 150 mg/mL;(2) 46.9 mg/mL; (3) 15 mg/mL; (4) 0 mg/mL; PMB: (1) 30×103 U/mL; (2) 9.38×103 U/mL; (3) 3.0×103 U/mL; (4) 0 U/mL; K1: level 1; K2: level 2; K3: level 3; K4: level 4
, http://www.100md.com
二、Gly、PMB不同组合拮抗ET的效应比较
对L16(42)正交表中ΔT和TRI4的实验数据进行方差分析,FGly,FPMB, FPMB+Gly的P值分别为:P<0.05,P<0.01,判断Gly的效应是显著(P<0.05)的,PMB的效应是极显著 (P<0.01)的,Gly和PMB的交互作用是显著存在的(P<0.05),见表2。
进一步建立L9(32)正交表分析Gly、PMB高、中、低3剂量水平间9种组合的最佳比例。从交互作用列中选出好水平为:列3的3水平,列4的2水平,对应的Gly、PMB的组合为P1G3,即Gly、PMB的最佳组合为P1G3(PMB 30 000 U∶Gly 15 mg),见表3。
, http://www.100md.com
三、Gly与PMB联用的毒性变化
PMB单用时LD50为6.06×104U/kg.w;Gly和PMB按选出的最佳比例:P1G3(PMB 30 000 U∶Gly 15 mg)组合,其LD50为8.38×104 U/kg.w PMB+0.041 g /kg.w Gly。
对logLD50、SlogLD50分析,可知在P1G3合剂的半数致死剂量中PMB剂量与单独用PMB 时的半数致死剂量差异有显著(P<0.05)。
表3 甘氨酸、多粘菌素B三水平间组合拮抗内毒素最佳比例正交分析
, 百拇医药
Tab 3 Orthogonal analysis of optimal pattern of glycine and
polymyxin B at respectively three different levels
Gly
PMB
Gly ×PMB
1
1
1
1
1
2
, http://www.100md.com
1
2
2
2
3
1
3
3
3
4
2
1
2
3
, http://www.100md.com
5
2
2
3
1
6
2
3
1
2
7
3
1
3
, 百拇医药
2
8
3
2
1
3
9
3
3
2
1
TRI4
K1
, http://www.100md.com
0.20
1.31
0.12
1.13
K2
0.71
0.48
0.94
-0.63
K3
-0.28
-1.16
, 百拇医药 -0.43
0.13
△T
K1
1.2
1.7
1.1
1.7
K2
1.3
1.0
1.7
0.9
, 百拇医药
K3
1.1
0.9
0.8
1.0
Gly: 1 150 mg/mL; 2 46.9 mg/mL; 3 15 mg/mL;
PMB: 1 30×103 U/mL; 2 9.38×103 U/mL; 3 3.0×103 U/mL
K1: level 1; K2: level 2; K3: level 3讨 论
, 百拇医药
ET是存在于革兰氏阴性细菌细胞壁外膜中,是广泛存在于自然界的致病原,其损害作用几乎遍及全身各器官和组织,故ET在革兰氏阴性细菌感染的发病机制中扮演着十分重要的角色,也必然成为治疗的靶目标之一。ET三维空间结构完整性的维持与其能否发挥生物学作用密切相关,故针对ET结构的拮抗剂成为研究的热点。
PMB对革兰氏阴性细菌有强效杀菌作用,同时又是有效的ET拮抗剂[4],但由于其毒副作用限制了它的临床应用。我们在先前的ET拮抗剂的研究中,发现Gly有比较好的拮抗ET作用,有可能是一种有效的ET拮抗剂,但能否应用于体内尚须进一步深入研究。
基于国内外研究成果和现况,为了进一步提高Gly或PMB对ET的拮抗效应和降低PMB的毒性作用,本实验将Gly和PMB联合应用,观察两者的协同拮抗效应、最佳组合比例。
对Gly、PMB联合用药拮抗ET致热性的观察和分析,发现PMB(15 000 U)+Gly(75 mg)拮抗ET(0.01 μg)的效应强于PMB(30 000 U)或Gly(150 mg)的拮抗效应,认为PMB、Gly在联合用药时对ET具有协同拮抗作用,显著提高了PMB、Gly分别对ET的拮抗效果。进一步利用正交法实验设计,观察了PMB和Gly的高、中、低剂量之间不同组合,对ET致热性的拮抗效果,发现PMB、Gly之间有显著交互作用且两者的最佳组合比例为P1G3(PMB 30 000 U∶Gly 15 mg)。
, 百拇医药
通过这两部分实验,我们明确了PMB和Gly具有协同拮抗ET的效应,而两药协同作用的机制往往是药物能在多个环节同时发挥作用,产生协同效应。因此,我们推测Gly不仅本身发挥拮抗ET的作用,还可能作为PMB的增效剂,提高其拮抗效应。
P1G3联合用药方案不仅具有协同拮抗ET的效应,同时可使PMB的半数致死剂量增加,即降低其毒性。Gly是机体固有的氨基酸,不仅是构建机体的成分,还可在细胞、器官和整体水平防止各种有毒物质引起的死亡。Weinberg等[5]观察到在肾近球小管细胞上,Gly可通过与受体结合,抑制氯通道介导的氯离子内流,从而起细胞保护作用;Aleo等[6]认为Gly是神经元的士的宁敏感的Gly受体激动剂,具有细胞保护作用。而PMB的抗菌效果强,但毒性大,主要是神经毒性和肾毒性,故机体对PMB耐受性的提高是否与Gly的这两方面细胞保护作用有关,有待进一步研究。
, 百拇医药 实验表明PMB和Gly联合应用有协同拮抗ET的效应,而且降低了PMB的毒性。因此,两种作用于多个环节、不同机制的ET拮抗剂的联合应用,尤其是增效减毒合剂模型的提出和初步探讨,为今后ET的基础研究和抗ET治疗的临床研究开拓了一个有广阔前景的研究方向和领域。至于Gly与PMB协同机制也是一个极有意义的课题,我们将在以后的研究中加以探讨。
[基金项目] 广东省卫生系统“五个一科教兴医工程”重点科研项目
[参 考 文 献]
[1] 陆大祥,李楚杰,付咏梅,等. 甘氨酸对ET致热性的拮抗作用研究[J].中国病理生理杂志,1996,12(3):235~238.
[2] 孙 葳,陆大祥,丁 勇,等.甘氨酸对ET与单核细胞结合率及ET构型的影响[J].中国病理生理杂志,1998,14(4):359~361.
, 百拇医药
[3] 徐叔云.药理实验设计和统计分析[M].见:徐叔云,卞如濂,陈修主编.药理实验方法学.第1版.北京:人民卫生出版社,1982. 400~428.
[4] Durando MM, Macky RJ, Mstat SL, et al. Effects of polymyxin B and Salmonella typhinyrium antiserum on horses giben endotoxin intravenously[J]. Am J Vet Res, 1994,55(7):921~935.
[5] Miller GW, Schnekkmann RG. Cytoprotection by inhibition of chloride channels:the mechanism of action of glycine and strychnine[J]. Life Sci,1993,53:1211~1215.
[6] Aleo MD, Schmellmann RG. The neurotoxicants strychnine and bicuculline protect renal proximal tubules from mitochondrial inhibitor induced cell death[J]. Life Sci,1992,51:1783~1787.
[收稿日期] 1999-12-01 [修回日期] 2000-01-11
, 百拇医药